Observation information
- date-obs: 2015-10-17
- time-obs: 15:03:54.634900000
- date-end: 2015-10-17
- time-end: 17:08:23.634700000
- obs_id: P01_126T02_9000000034
- exposure: 260.78077995
- sourceid: Crab-ssm1-p2
- observer: ramadevi
- ra_pnt: 353.3941
- dec_pnt: -15.2323
Basic statistics of files
| Param |
Original file |
Final file |
| Filename | modeM0/AS1P01_126T02_9000000034_00290cztM0_level2.evt
| modeM0/AS1P01_126T02_9000000034_00290cztM0_level2_quad_clean.evt
|
| Size (bytes) | 982,517,760 | 16,632,000 |
| Size | 937.0 MB
| 15.9 MB
|
| Events in quadrant A | 9,870,042 | 24,394 |
| Events in quadrant B | 6,897,554 | 25,490 |
| Events in quadrant C | 6,247,024 | 24,862 |
| Events in quadrant D | 6,359,215 | 24,454 |
Level1 data integrity
| Mode M9 |
| Quadrant | BADHDUFLAG | Total packets | Discarded packets |
|---|
| A | 0 | 17 | 0 |
| B | 0 | 17 | 0 |
| C | 0 | 17 | 0 |
| D | 0 | 17 | 0 |
| Mode M0 |
| Quadrant | BADHDUFLAG | Total packets | Discarded packets |
|---|
| A | 0 | 33318 | 2 |
| B | 0 | 24598 | 1 |
| C | 0 | 22678 | 1 |
| D | 0 | 23041 | 1 |
| Mode SS |
| Quadrant | BADHDUFLAG | Total packets | Discarded packets |
|---|
| A | 0 | 118 | 0 |
| B | 0 | 118 | 0 |
| C | 0 | 118 | 0 |
| D | 0 | 118 | 0 |
Data saturation
| Quadrant | Total seconds | Saturated seconds | Saturation percentage |
|---|
| A | 5763 | 24 | 0.416450% |
| B | 5763 | 5 | 0.086760% |
| C | 5763 | 2 | 0.034704% |
| D | 5763 | 13 | 0.225577% |
Noise dominated fraction
Noise dominated data is calculated using 1-second bins in cleaned event files. If a bin has >2000 counts, and if more than 50% of those come from <1% of pixels, then it is considered to be noise-dominated and hence unusable.
| Quadrant |
# 1 sec bins |
Bins with >0 counts |
Bins with >2000 counts |
High rate bins dominated by noise |
Noise dominated (total time) |
Noise dominated (detector-on time) |
Marked lightcurve |
| A | 7469 | 5764 | 1288 | 1288 | 17.24% | 22.35% |  |
| B | 7469 | 5764 | 119 | 119 | 1.59% | 2.06% |  |
| C | 7469 | 5764 | 46 | 46 | 0.62% | 0.80% |  |
| D | 7469 | 5764 | 74 | 74 | 0.99% | 1.28% |  |
Top noisy pixels
Top three noisy pixels from each quadrant. If the there are fewer than three noisy pixels in the level2.evt file, extra rows are filled as -1
| Pixel properties |
Quadrant properties |
| Quadrant |
DetID |
PixID |
Counts |
Sigma |
Mean |
Median |
Sigma |
| A | 15 | 127 | 3032513 | 7866.16 | 1753 | 1737 | 385.3 |
| A | 15 | 250 | 42006 | 104.52 | 1753 | 1737 | 385.3 |
| A | 11 | 242 | 9183 | 19.33 | 1753 | 1737 | 385.3 |
| B | 0 | 183 | 78742 | 187.89 | 1741 | 1757 | 409.7 |
| B | 0 | 151 | 62146 | 147.38 | 1741 | 1757 | 409.7 |
| B | 0 | 85 | 42752 | 100.05 | 1741 | 1757 | 409.7 |
| C | 1 | 1 | 143343 | 329.58 | 1535 | 1589 | 430.1 |
| C | 3 | 159 | 45858 | 102.93 | 1535 | 1589 | 430.1 |
| C | 14 | 48 | 18413 | 39.12 | 1535 | 1589 | 430.1 |
| D | 13 | 216 | 344950 | 729.7 | 1496 | 1552 | 470.6 |
| D | 10 | 62 | 109473 | 229.33 | 1496 | 1552 | 470.6 |
| D | 13 | 117 | 54012 | 111.47 | 1496 | 1552 | 470.6 |
Detector plane histogram (DPH)
Histogram calculated using DETX and DETY for each event in the final _common_clean file
| Quadrant A |
 |
 |
Quadrant B |
| Quadrant D |
 |
 |
Quadrant C |
Count rate plots and images
| Plot type |
Count rate plots |
Images |
Comparison with Poisson distribution
Blue bars denote a histogram of data divided into 1 sec bins.
Red curve is a Poisson curve with rate = median count rate of data. |
 |
 |
Quadrant-wise count rates
Data is divided into 100 sec bins |
 |
 |
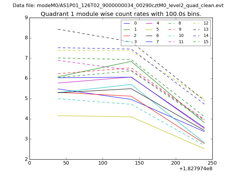
Module-wise count rates for Quadrant A
Data is divided into 100 sec bins |
 |
 |
Module-wise count rates for Quadrant B
Data is divided into 100 sec bins |
 |
 |
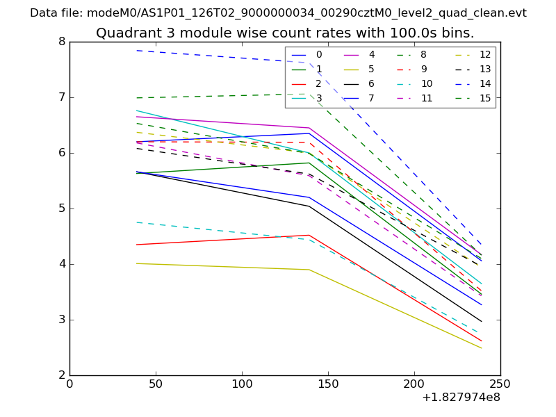
Module-wise count rates for Quadrant C
Data is divided into 100 sec bins |
 |
 |
Module-wise count rates for Quadrant D
Data is divided into 100 sec bins |
 |
 |
Housekeeping plots
| Parameter |
Plot |
| CZT HV Monitor |  |
| D_VDD |  |
| Temperature 1 |  |
| Veto HV Monitor |  |
| Veto LLD |  |
| Alpha Counter |  |
| _CPM_Rate |  |
| CZT Counter |  |
| +2.5 Volts monitor |  |
| +5 Volts monitor |  |
| _ROLL_ROT |  |
| _Roll_DEC |  |
| _Roll_RA |  |
| Veto Counter |  |