Observation information
- date-obs: 2015-10-17
- time-obs: 06:17:42.640700000
- date-end: 2015-10-17
- time-end: 08:24:12.639000000
- obs_id: P01_126T03_9000000032
- exposure: 231.800000519
- sourceid: crab-ssm1-p3
- observer: ramadevi
- ra_pnt: 89.0938
- dec_pnt: 16.9907
Basic statistics of files
| Param |
Original file |
Final file |
| Filename | modeM0/AS1P01_126T03_9000000032_00284cztM0_level2.evt
| modeM0/AS1P01_126T03_9000000032_00284cztM0_level2_quad_clean.evt
|
| Size (bytes) | 948,049,920 | 16,603,200 |
| Size | 904.1 MB
| 15.8 MB
|
| Events in quadrant A | 7,612,527 | 22,813 |
| Events in quadrant B | 7,353,588 | 23,677 |
| Events in quadrant C | 6,738,339 | 22,720 |
| Events in quadrant D | 6,617,197 | 21,345 |
Level1 data integrity
| Mode M9 |
| Quadrant | BADHDUFLAG | Total packets | Discarded packets |
|---|
| A | 0 | 17 | 0 |
| B | 0 | 17 | 0 |
| C | 0 | 17 | 0 |
| D | 0 | 17 | 0 |
| Mode SS |
| Quadrant | BADHDUFLAG | Total packets | Discarded packets |
|---|
| A | 0 | 118 | 0 |
| B | 0 | 118 | 0 |
| C | 0 | 118 | 0 |
| D | 0 | 118 | 0 |
| Mode M0 |
| Quadrant | BADHDUFLAG | Total packets | Discarded packets |
|---|
| A | 0 | 26771 | 3 |
| B | 0 | 25993 | 2 |
| C | 0 | 24239 | 2 |
| D | 0 | 23856 | 2 |
Data saturation
| Quadrant | Total seconds | Saturated seconds | Saturation percentage |
|---|
| A | 5885 | 15 | 0.254885% |
| B | 5885 | 8 | 0.135939% |
| C | 5885 | 29 | 0.492778% |
| D | 5885 | 15 | 0.254885% |
Noise dominated fraction
Noise dominated data is calculated using 1-second bins in cleaned event files. If a bin has >2000 counts, and if more than 50% of those come from <1% of pixels, then it is considered to be noise-dominated and hence unusable.
| Quadrant |
# 1 sec bins |
Bins with >0 counts |
Bins with >2000 counts |
High rate bins dominated by noise |
Noise dominated (total time) |
Noise dominated (detector-on time) |
Marked lightcurve |
| A | 7590 | 5886 | 252 | 252 | 3.32% | 4.28% |  |
| B | 7590 | 5886 | 142 | 142 | 1.87% | 2.41% |  |
| C | 7590 | 5886 | 148 | 148 | 1.95% | 2.51% |  |
| D | 7590 | 5886 | 94 | 94 | 1.24% | 1.60% |  |
Top noisy pixels
Top three noisy pixels from each quadrant. If the there are fewer than three noisy pixels in the level2.evt file, extra rows are filled as -1
| Pixel properties |
Quadrant properties |
| Quadrant |
DetID |
PixID |
Counts |
Sigma |
Mean |
Median |
Sigma |
| A | 15 | 250 | 127501 | 303.23 | 1875 | 1858 | 414.3 |
| A | 12 | 149 | 94670 | 224.0 | 1875 | 1858 | 414.3 |
| A | 15 | 127 | 65282 | 153.07 | 1875 | 1858 | 414.3 |
| B | 7 | 220 | 112040 | 252.4 | 1836 | 1845 | 436.6 |
| B | 0 | 183 | 98877 | 222.25 | 1836 | 1845 | 436.6 |
| B | 0 | 151 | 39005 | 85.11 | 1836 | 1845 | 436.6 |
| C | 1 | 1 | 136118 | 288.47 | 1652 | 1708 | 465.9 |
| C | 3 | 159 | 86647 | 182.3 | 1652 | 1708 | 465.9 |
| C | 1 | 192 | 12819 | 23.85 | 1652 | 1708 | 465.9 |
| D | 1 | 5 | 100721 | 192.69 | 1626 | 1687 | 513.9 |
| D | 13 | 117 | 84395 | 160.93 | 1626 | 1687 | 513.9 |
| D | 13 | 7 | 63164 | 119.62 | 1626 | 1687 | 513.9 |
Detector plane histogram (DPH)
Histogram calculated using DETX and DETY for each event in the final _common_clean file
| Quadrant A |
 |
 |
Quadrant B |
| Quadrant D |
 |
 |
Quadrant C |
Count rate plots and images
| Plot type |
Count rate plots |
Images |
Comparison with Poisson distribution
Blue bars denote a histogram of data divided into 1 sec bins.
Red curve is a Poisson curve with rate = median count rate of data. |
 |
 |
Quadrant-wise count rates
Data is divided into 100 sec bins |
 |
 |
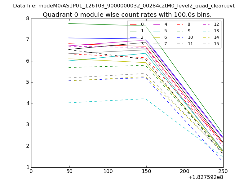
Module-wise count rates for Quadrant A
Data is divided into 100 sec bins |
 |
 |
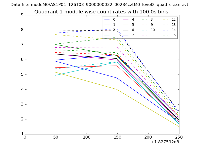
Module-wise count rates for Quadrant B
Data is divided into 100 sec bins |
 |
 |
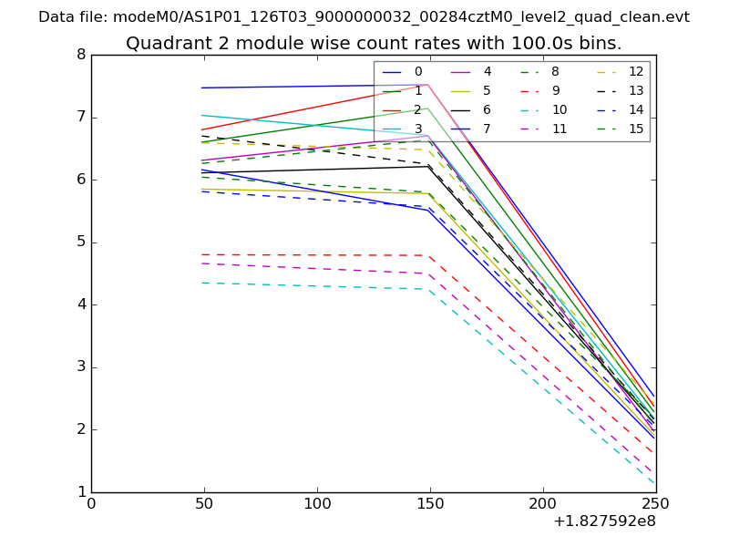
Module-wise count rates for Quadrant C
Data is divided into 100 sec bins |
 |
 |
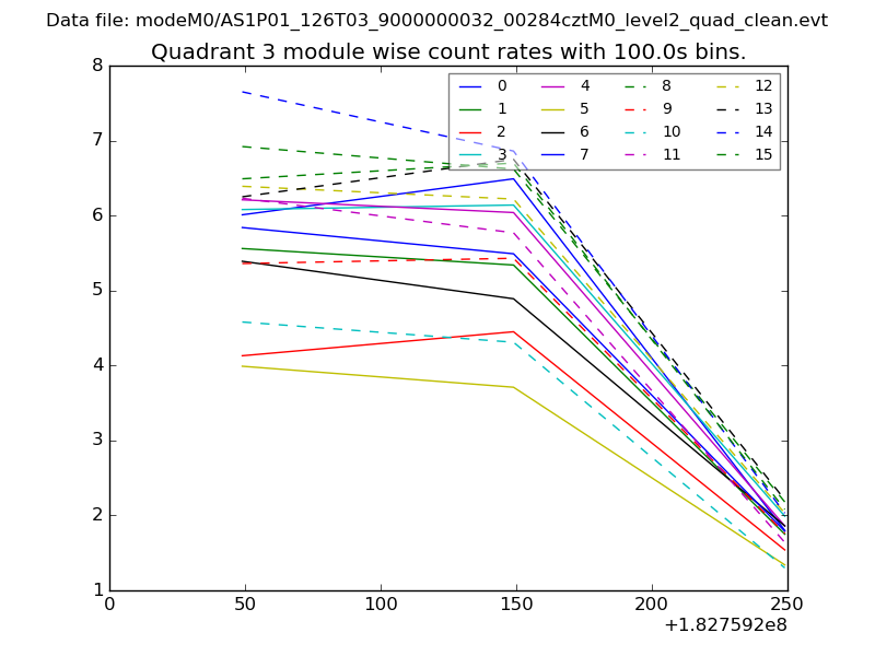
Module-wise count rates for Quadrant D
Data is divided into 100 sec bins |
 |
 |
Housekeeping plots
| Parameter |
Plot |
| CZT HV Monitor |  |
| D_VDD |  |
| Temperature 1 |  |
| Veto HV Monitor |  |
| Veto LLD |  |
| Alpha Counter |  |
| _CPM_Rate |  |
| CZT Counter |  |
| +2.5 Volts monitor |  |
| +5 Volts monitor |  |
| _ROLL_ROT |  |
| _Roll_DEC |  |
| _Roll_RA |  |
| Veto Counter |  |