Observation information
- date-obs: 2015-10-24
- time-obs: 16:16:26.435600000
- date-end: 2015-10-24
- time-end: 16:18:43.435600000
- obs_id: P01_161T02_9000000066
- sourceid: CAS
- observer: parag
- ra_pnt: 350.8664
- dec_pnt: 58.81178
Basic statistics of files
| Param |
Original file |
Final file |
| Filename | modeM0/AS1P01_161T02_9000000066_00393cztM0_level2.evt
| modeM0/AS1P01_161T02_9000000066_00393cztM0_level2_quad_clean.evt
|
| Size (bytes) | 22,052,160 | 2,116,800 |
| Size | 21.0 MB
| 2.0 MB
|
| Events in quadrant A | 177,937 | 11,604 |
| Events in quadrant B | 167,342 | 11,044 |
| Events in quadrant C | 153,677 | 11,782 |
| Events in quadrant D | 156,206 | 11,113 |
Level1 data integrity
| Mode SS |
| Quadrant | BADHDUFLAG | Total packets | Discarded packets |
|---|
| A | 0 | 2 | 0 |
| B | 0 | 2 | 0 |
| C | 0 | 2 | 0 |
| D | 0 | 2 | 0 |
| Mode M0 |
| Quadrant | BADHDUFLAG | Total packets | Discarded packets |
|---|
| A | 0 | 629 | 1 |
| B | 0 | 594 | 0 |
| C | 0 | 553 | 0 |
| D | 0 | 566 | 0 |
Data saturation
| Quadrant | Total seconds | Saturated seconds | Saturation percentage |
|---|
| A | 137 | 6 | 4.379562% |
| B | 137 | 0 | 0.000000% |
| C | 137 | 0 | 0.000000% |
| D | 137 | 0 | 0.000000% |
Noise dominated fraction
Noise dominated data is calculated using 1-second bins in cleaned event files. If a bin has >2000 counts, and if more than 50% of those come from <1% of pixels, then it is considered to be noise-dominated and hence unusable.
| Quadrant |
# 1 sec bins |
Bins with >0 counts |
Bins with >2000 counts |
High rate bins dominated by noise |
Noise dominated (total time) |
Noise dominated (detector-on time) |
Marked lightcurve |
| A | 137 | 137 | 6 | 6 | 4.38% | 4.38% |  |
| B | 137 | 137 | 7 | 7 | 5.11% | 5.11% |  |
| C | 137 | 137 | 0 | 0 | 0.00% | 0.00% |  |
| D | 137 | 137 | 0 | 0 | 0.00% | 0.00% |  |
Top noisy pixels
Top three noisy pixels from each quadrant. If the there are fewer than three noisy pixels in the level2.evt file, extra rows are filled as -1
| Pixel properties |
Quadrant properties |
| Quadrant |
DetID |
PixID |
Counts |
Sigma |
Mean |
Median |
Sigma |
| A | 15 | 200 | 16451 | 1489.27 | 39 | 39 | 11.0 |
| A | 0 | 238 | 4081 | 366.78 | 39 | 39 | 11.0 |
| A | 13 | 8 | 1501 | 132.67 | 39 | 39 | 11.0 |
| B | 0 | 23 | 13632 | 1245.7 | 38 | 38 | 10.9 |
| B | 6 | 0 | 3164 | 286.45 | 38 | 38 | 10.9 |
| B | 5 | 2 | 1328 | 118.21 | 38 | 38 | 10.9 |
| C | 2 | 53 | 602 | 45.66 | 38 | 39 | 12.3 |
| C | 10 | 19 | 530 | 39.82 | 38 | 39 | 12.3 |
| C | 5 | 234 | 310 | 21.98 | 38 | 39 | 12.3 |
| D | 13 | 174 | 5287 | 392.6 | 37 | 38 | 13.4 |
| D | 13 | 216 | 1780 | 130.29 | 37 | 38 | 13.4 |
| D | 13 | 7 | 1056 | 76.14 | 37 | 38 | 13.4 |
Detector plane histogram (DPH)
Histogram calculated using DETX and DETY for each event in the final _common_clean file
| Quadrant A |
 |
 |
Quadrant B |
| Quadrant D |
 |
 |
Quadrant C |
Count rate plots and images
| Plot type |
Count rate plots |
Images |
Comparison with Poisson distribution
Blue bars denote a histogram of data divided into 1 sec bins.
Red curve is a Poisson curve with rate = median count rate of data. |
 |
 |
Quadrant-wise count rates
Data is divided into 100 sec bins |
 |
 |
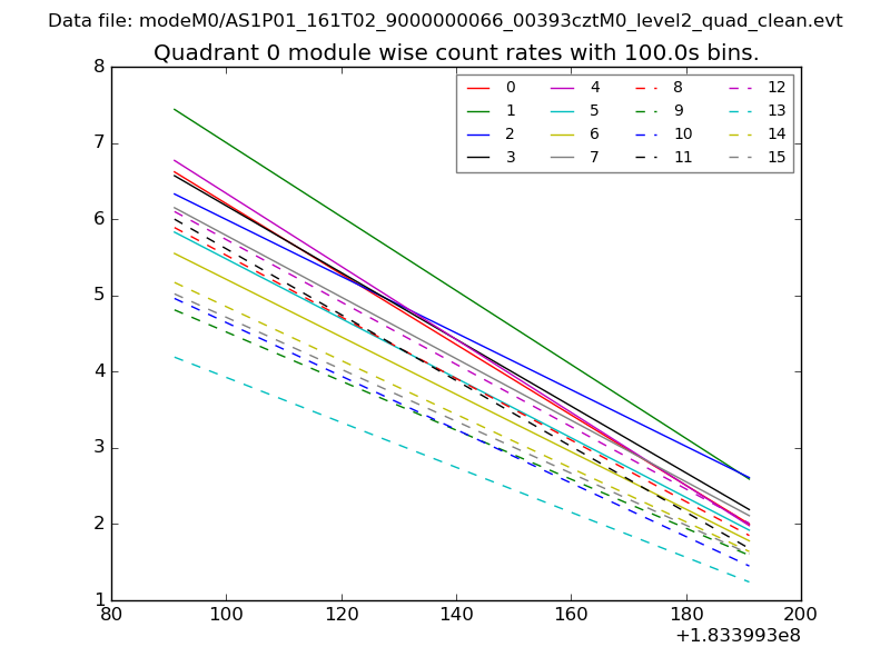
Module-wise count rates for Quadrant A
Data is divided into 100 sec bins |
 |
 |
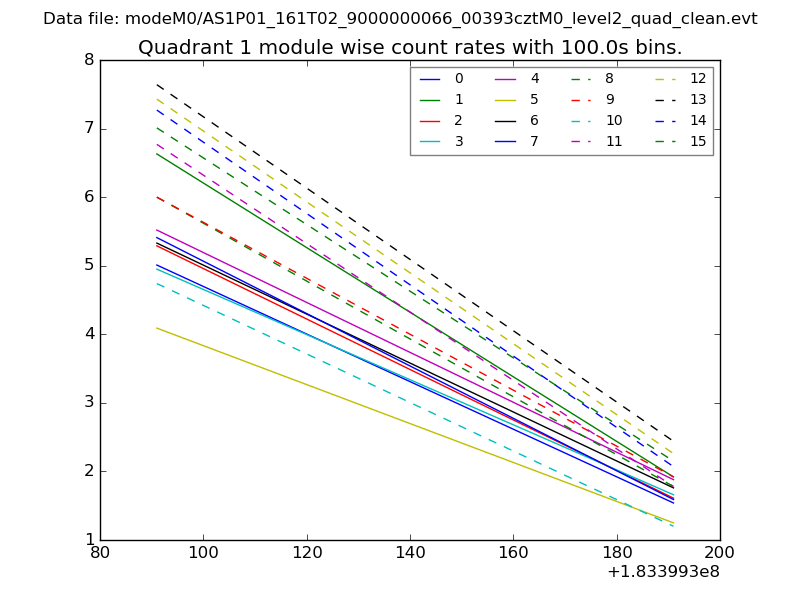
Module-wise count rates for Quadrant B
Data is divided into 100 sec bins |
 |
 |
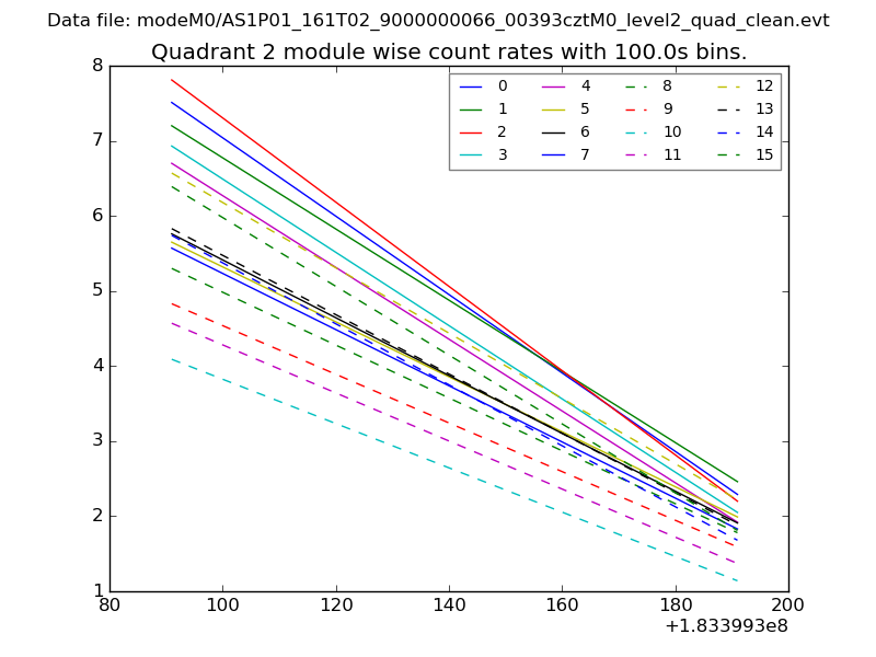
Module-wise count rates for Quadrant C
Data is divided into 100 sec bins |
 |
 |
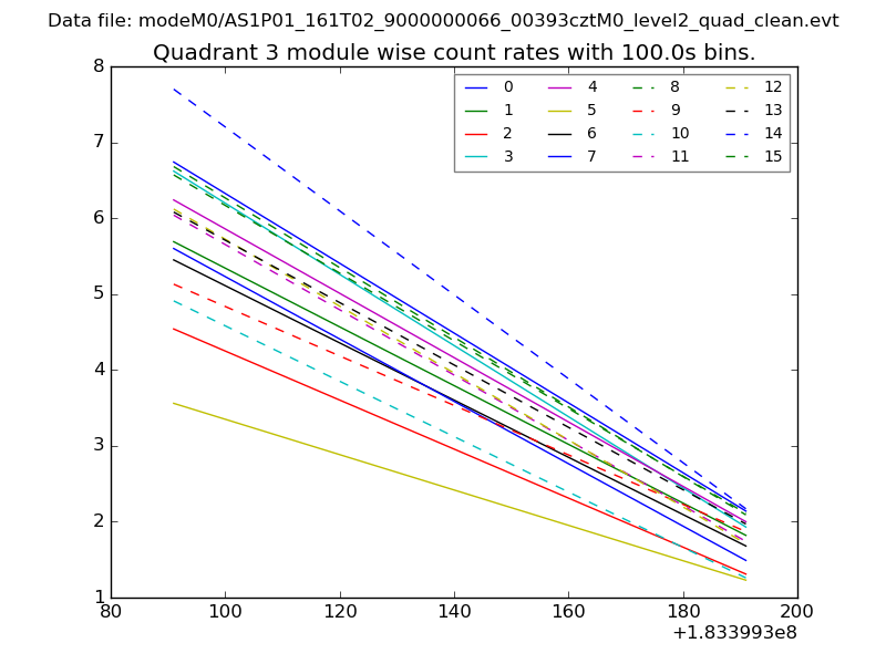
Module-wise count rates for Quadrant D
Data is divided into 100 sec bins |
 |
 |
Housekeeping plots
| Parameter |
Plot |
| CZT HV Monitor |  |
| D_VDD |  |
| Temperature 1 |  |
| Veto HV Monitor |  |
| Veto LLD |  |
| Alpha Counter |  |
| _CPM_Rate |  |
| CZT Counter |  |
| +2.5 Volts monitor |  |
| +5 Volts monitor |  |
| _ROLL_ROT |  |
| _Roll_DEC |  |
| _Roll_RA |  |
| Veto Counter |  |