Observation information
- date-obs: 2016-01-29
- time-obs: 23:40:53.342100000
- date-end: 2016-01-29
- time-end: 23:45:21.342200000
- obs_id: G02_021T08_9000000302
- sourceid: HZ 43
- observer: KPSingh19
- ra_pnt: 199.0917
- dec_pnt: 29.09872
Basic statistics of files
| Param |
Original file |
Final file |
| Filename | modeM0/AS1G02_021T08_9000000302_01835cztM0_level2.evt
| modeM0/AS1G02_021T08_9000000302_01835cztM0_level2_quad_clean.evt
|
| Size (bytes) | 48,605,760 | 4,325,760 |
| Size | 46.4 MB
| 4.1 MB
|
| Events in quadrant A | 356,893 | 26,840 |
| Events in quadrant B | 392,449 | 26,142 |
| Events in quadrant C | 369,830 | 26,687 |
| Events in quadrant D | 332,707 | 25,099 |
Level1 data integrity
| Mode M9 |
| Quadrant | BADHDUFLAG | Total packets | Discarded packets |
|---|
| A | 1 | 273359709408 | 0 |
| B | 1 | -1 | -1 |
| C | 1 | -1 | -1 |
| D | 1 | -1 | -1 |
| Mode M0 |
| Quadrant | BADHDUFLAG | Total packets | Discarded packets |
|---|
| A | 0 | 1241 | 1 |
| B | 0 | 1334 | 1 |
| C | 0 | 1276 | 1 |
| D | 0 | 1167 | 1 |
| Mode SS |
| Quadrant | BADHDUFLAG | Total packets | Discarded packets |
|---|
| A | 0 | 4 | 0 |
| B | 0 | 4 | 0 |
| C | 0 | 4 | 0 |
| D | 0 | 4 | 0 |
Data saturation
| Quadrant | Total seconds | Saturated seconds | Saturation percentage |
|---|
| A | 252 | 1 | 0.396825% |
| B | 252 | 1 | 0.396825% |
| C | 252 | 1 | 0.396825% |
| D | 252 | 1 | 0.396825% |
Noise dominated fraction
Noise dominated data is calculated using 1-second bins in cleaned event files. If a bin has >2000 counts, and if more than 50% of those come from <1% of pixels, then it is considered to be noise-dominated and hence unusable.
| Quadrant |
# 1 sec bins |
Bins with >0 counts |
Bins with >2000 counts |
High rate bins dominated by noise |
Noise dominated (total time) |
Noise dominated (detector-on time) |
Marked lightcurve |
| A | 252 | 252 | 17 | 17 | 6.75% | 6.75% |  |
| B | 252 | 252 | 25 | 25 | 9.92% | 9.92% |  |
| C | 252 | 252 | 15 | 15 | 5.95% | 5.95% |  |
| D | 252 | 252 | 4 | 4 | 1.59% | 1.59% |  |
Top noisy pixels
Top three noisy pixels from each quadrant. If the there are fewer than three noisy pixels in the level2.evt file, extra rows are filled as -1
| Pixel properties |
Quadrant properties |
| Quadrant |
DetID |
PixID |
Counts |
Sigma |
Mean |
Median |
Sigma |
| B | 8 | 3 | 8544 | 337.82 | 100 | 100 | 25.0 |
| B | 0 | 220 | 818 | 28.73 | 100 | 100 | 25.0 |
| B | 5 | 175 | 719 | 24.76 | 100 | 100 | 25.0 |
| C | 14 | 223 | 1491 | 49.83 | 93 | 97 | 28.0 |
| C | 7 | 159 | 948 | 30.42 | 93 | 97 | 28.0 |
| C | 9 | 236 | 516 | 14.98 | 93 | 97 | 28.0 |
| D | 13 | 88 | 4277 | 147.95 | 85 | 86 | 28.3 |
| D | 1 | 84 | 2126 | 72.02 | 85 | 86 | 28.3 |
| D | 13 | 105 | 2116 | 71.66 | 85 | 86 | 28.3 |
Detector plane histogram (DPH)
Histogram calculated using DETX and DETY for each event in the final _common_clean file
| Quadrant A |
 |
 |
Quadrant B |
| Quadrant D |
 |
 |
Quadrant C |
Count rate plots and images
| Plot type |
Count rate plots |
Images |
Comparison with Poisson distribution
Blue bars denote a histogram of data divided into 1 sec bins.
Red curve is a Poisson curve with rate = median count rate of data. |
 |
 |
Quadrant-wise count rates
Data is divided into 100 sec bins |
 |
 |
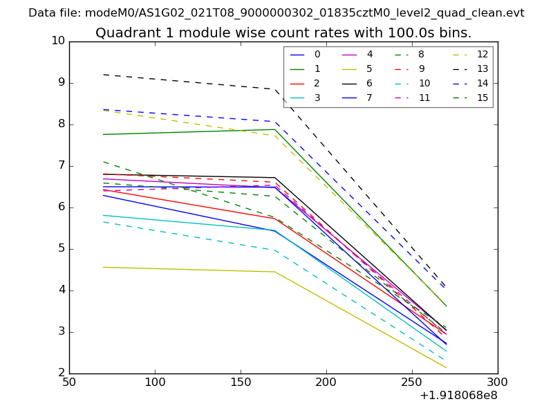
Module-wise count rates for Quadrant A
Data is divided into 100 sec bins |
 |
 |
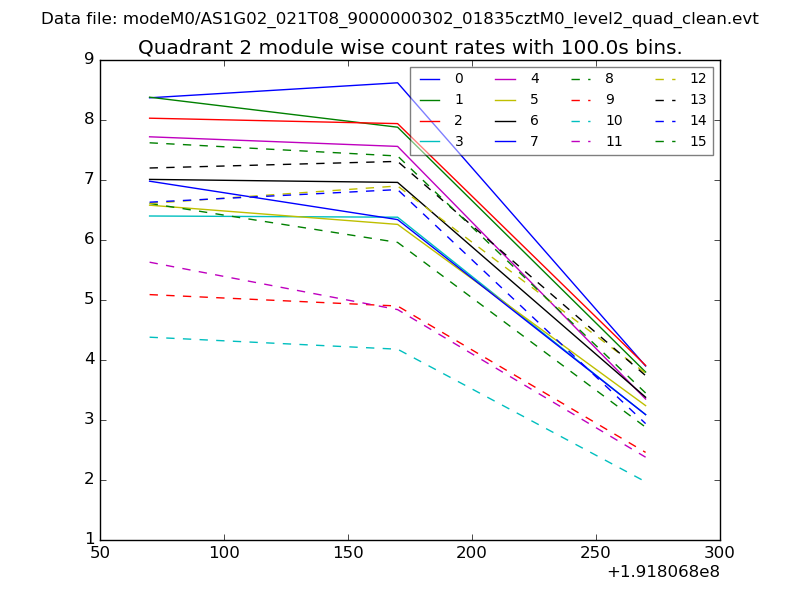
Module-wise count rates for Quadrant B
Data is divided into 100 sec bins |
 |
 |
Module-wise count rates for Quadrant C
Data is divided into 100 sec bins |
 |
 |
Module-wise count rates for Quadrant D
Data is divided into 100 sec bins |
 |
 |
Housekeeping plots
| Parameter |
Plot |
| CZT HV Monitor |  |
| D_VDD |  |
| Temperature 1 |  |
| Veto HV Monitor |  |
| Veto LLD |  |
| Alpha Counter |  |
| _CPM_Rate |  |
| CZT Counter |  |
| +2.5 Volts monitor |  |
| +5 Volts monitor |  |
| _ROLL_ROT |  |
| _Roll_DEC |  |
| _Roll_RA |  |
| Veto Counter |  |