ASTROSAT CZTI

Data Quality Report

Orbit 02055

Creation date: 2024-06-27T14:13:36.866855
Switch to: Orbit-wise | Merged OBSID-wise
web.py, SVN revision $Rev$

Source files: Data quality report (detailed, human readable) | Data quality report (concise, machine readable)

Observation information


Basic statistics of files

Param Original file Final file
FilenamemodeM0/AS1P01_010T01_9000000318_02055cztM0_level2.evt modeM0/AS1P01_010T01_9000000318_02055cztM0_level2_quad_clean.evt
Size (bytes)364,700,16039,522,240
Size347.8 MB 37.7 MB
Events in quadrant A3,659,894346,113
Events in quadrant B3,929,495353,587
Events in quadrant C3,188,908300,394
Events in quadrant D90,8319,751

Noise dominated fraction

Noise dominated data is calculated using 1-second bins in cleaned event files. If a bin has >2000 counts, and if more than 50% of those come from <1% of pixels, then it is considered to be noise-dominated and hence unusable.

Quadrant # 1 sec bins Bins with >0 counts Bins with >2000 counts High rate bins dominated by noise Noise dominated (total time) Noise dominated (detector-on time) Marked lightcurve
A 7555 6234 6 6 0.08% 0.10%
B 7557 6235 5 5 0.07% 0.08%
C 6938 5617 2 2 0.03% 0.04%
D 6932 192 0 0 0.00% 0.00%

Detector plane histogram (DPH)

Histogram calculated using DETX and DETY for each event in the final _common_clean file

Quadrant A Quadrant B
Quadrant D Quadrant C

Count rate plots and images

Plot type Count rate plots Images
Comparison with Poisson distribution
Blue bars denote a histogram of data divided into 1 sec bins.
Red curve is a Poisson curve with rate = median count rate of data.
Quadrant-wise count rates
Data is divided into 100 sec bins
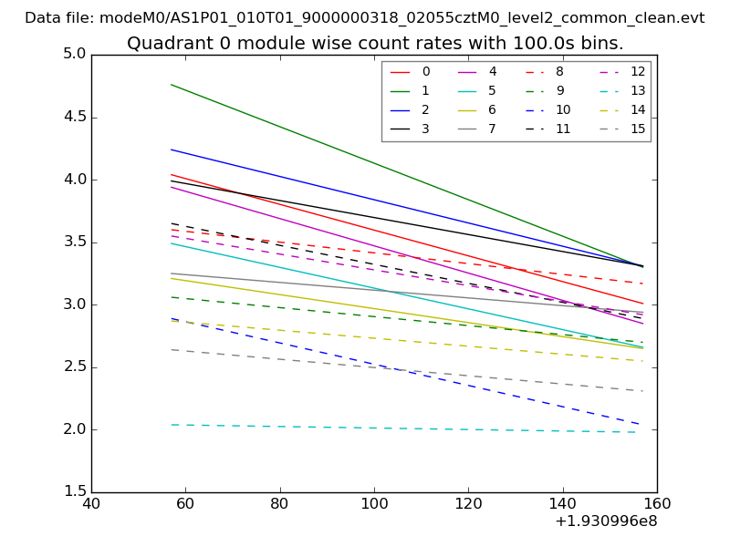
Module-wise count rates for Quadrant A
Data is divided into 100 sec bins
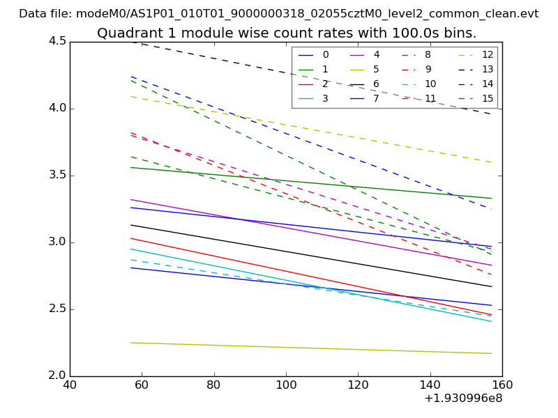
Module-wise count rates for Quadrant B
Data is divided into 100 sec bins
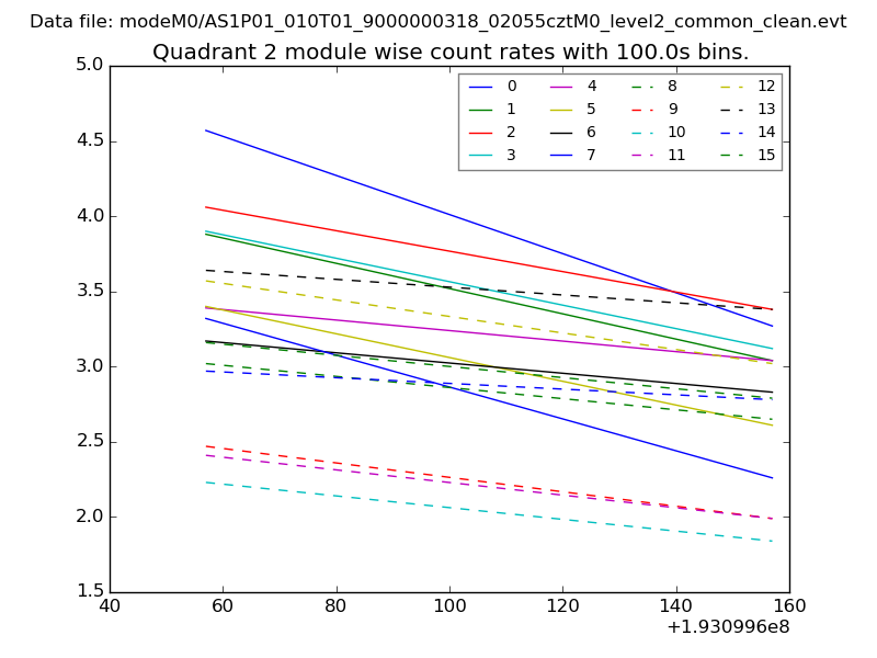
Module-wise count rates for Quadrant C
Data is divided into 100 sec bins
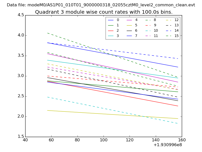
Module-wise count rates for Quadrant D
Data is divided into 100 sec bins

Housekeeping plots

Parameter Plot
CZT HV Monitor
D_VDD
Temperature 1
Veto HV Monitor
Veto LLD
Alpha Counter
_CPM_Rate
CZT Counter
+2.5 Volts monitor
+5 Volts monitor
Veto Counter