ASTROSAT CZTI

Data Quality Report

Orbit 02067

Creation date: 2024-06-27T14:13:46.821905
Switch to: Orbit-wise | Merged OBSID-wise
web.py, SVN revision $Rev$

Source files: Data quality report (detailed, human readable) | Data quality report (concise, machine readable)

Observation information


Basic statistics of files

Param Original file Final file
FilenamemodeM0/AS1P01_161T03_9000000320_02067cztM0_level2.evt modeM0/AS1P01_161T03_9000000320_02067cztM0_level2_quad_clean.evt
Size (bytes)37,010,8803,839,040
Size35.3 MB 3.7 MB
Events in quadrant A271,88723,121
Events in quadrant B309,75423,366
Events in quadrant C272,71722,585
Events in quadrant D247,52322,279

Noise dominated fraction

Noise dominated data is calculated using 1-second bins in cleaned event files. If a bin has >2000 counts, and if more than 50% of those come from <1% of pixels, then it is considered to be noise-dominated and hence unusable.

Quadrant # 1 sec bins Bins with >0 counts Bins with >2000 counts High rate bins dominated by noise Noise dominated (total time) Noise dominated (detector-on time) Marked lightcurve
A 231 231 5 5 2.16% 2.16%
B 231 231 4 4 1.73% 1.73%
C 231 231 4 4 1.73% 1.73%
D 231 231 0 0 0.00% 0.00%

Detector plane histogram (DPH)

Histogram calculated using DETX and DETY for each event in the final _common_clean file

Quadrant A Quadrant B
Quadrant D Quadrant C

Count rate plots and images

Plot type Count rate plots Images
Comparison with Poisson distribution
Blue bars denote a histogram of data divided into 1 sec bins.
Red curve is a Poisson curve with rate = median count rate of data.
Quadrant-wise count rates
Data is divided into 100 sec bins
Module-wise count rates for Quadrant A
Data is divided into 100 sec bins
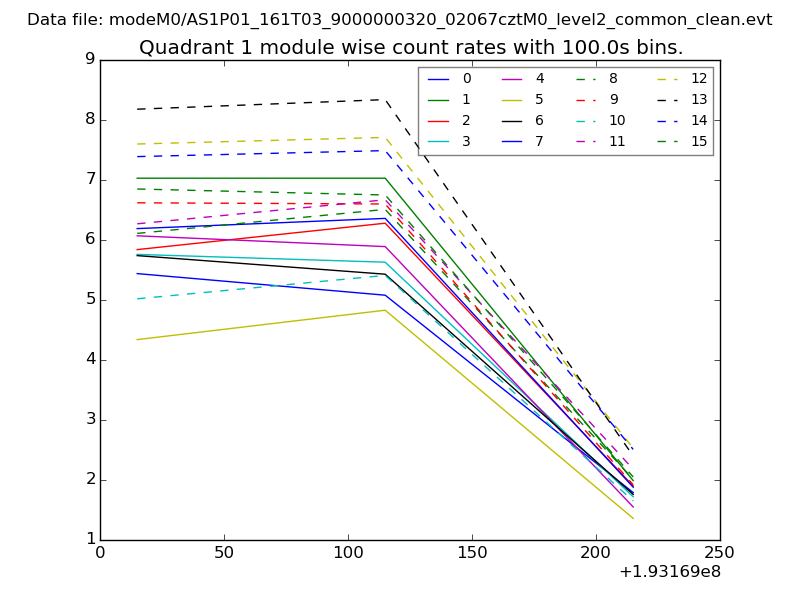
Module-wise count rates for Quadrant B
Data is divided into 100 sec bins
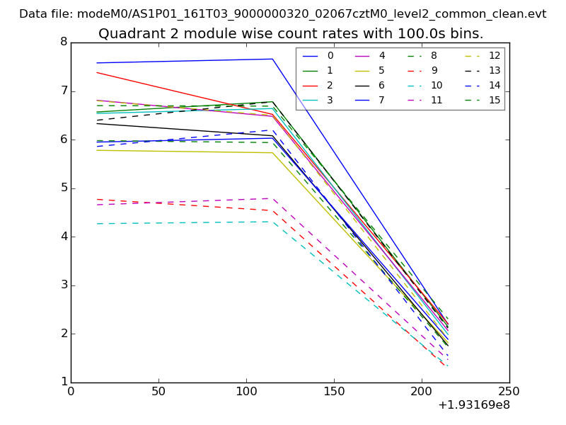
Module-wise count rates for Quadrant C
Data is divided into 100 sec bins
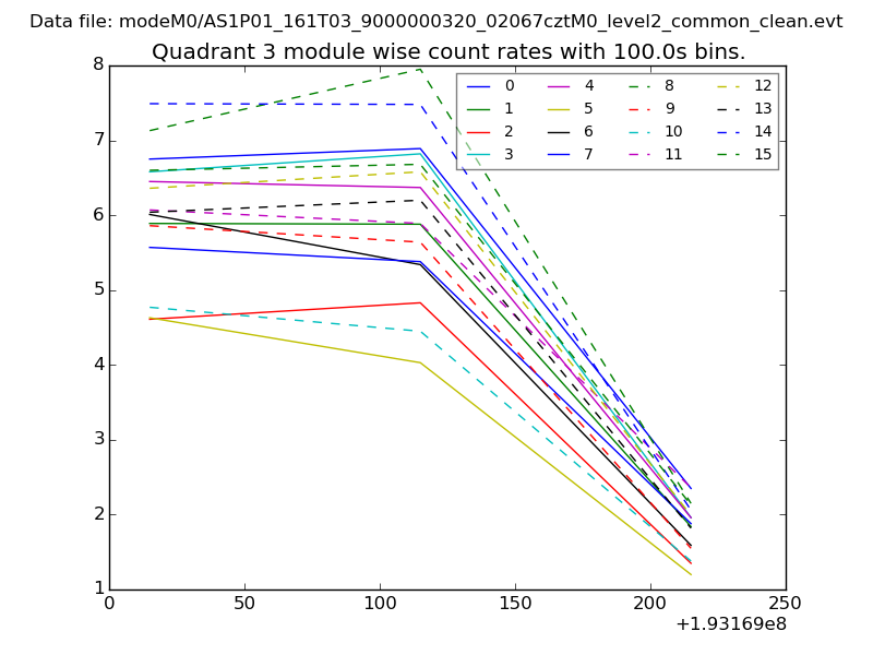
Module-wise count rates for Quadrant D
Data is divided into 100 sec bins

Housekeeping plots

Parameter Plot
CZT HV Monitor
D_VDD
Temperature 1
Veto HV Monitor
Veto LLD
Alpha Counter
_CPM_Rate
CZT Counter
+2.5 Volts monitor
+5 Volts monitor
Veto Counter