Observation information
- date-obs: 2016-03-16
- time-obs: 18:55:14.897000000
- date-end: 2016-03-16
- time-end: 19:06:40.897400000
- obs_id: SLEW_01234_9000000375
- exposure: 97.4133252725
- sourceid: GD419
- observer: annapurni
- ra_pnt: 25.36975
- dec_pnt: 83.58303
Basic statistics of files
| Param |
Original file |
Final file |
| Filename | modeM0/AS1SLEW_01234_9000000375_02527cztM0_level2.evt
| modeM0/AS1SLEW_01234_9000000375_02527cztM0_level2_quad_clean.evt
|
| Size (bytes) | 10,566,720 | 1,955,520 |
| Size | 10.1 MB
| 1.9 MB
|
| Events in quadrant A | 58,165 | 11,200 |
| Events in quadrant B | 58,087 | 11,756 |
| Events in quadrant C | 61,772 | 11,239 |
| Events in quadrant D | 131,036 | 8,548 |
Level1 data integrity
| Mode M0 |
| Quadrant | BADHDUFLAG | Total packets | Discarded packets |
|---|
| A | 0 | 240 | 1 |
| B | 0 | 236 | 1 |
| C | 0 | 252 | 1 |
| D | 0 | 463 | 1 |
| Mode M9 |
| Quadrant | BADHDUFLAG | Total packets | Discarded packets |
|---|
| A | 0 | 6 | 0 |
| B | 0 | 6 | 0 |
| C | 0 | 6 | 0 |
| D | 0 | 6 | 0 |
| Mode SS |
| Quadrant | BADHDUFLAG | Total packets | Discarded packets |
|---|
| A | 0 | 4 | 0 |
| B | 0 | 4 | 0 |
| C | 0 | 4 | 0 |
| D | 0 | 4 | 0 |
Data saturation
| Quadrant | Total seconds | Saturated seconds | Saturation percentage |
|---|
| A | 105 | 5 | 4.761905% |
| B | 105 | 4 | 3.809524% |
| C | 105 | 2 | 1.904762% |
| D | 105 | 34 | 32.380952% |
Noise dominated fraction
Noise dominated data is calculated using 1-second bins in cleaned event files. If a bin has >2000 counts, and if more than 50% of those come from <1% of pixels, then it is considered to be noise-dominated and hence unusable.
| Quadrant |
# 1 sec bins |
Bins with >0 counts |
Bins with >2000 counts |
High rate bins dominated by noise |
Noise dominated (total time) |
Noise dominated (detector-on time) |
Marked lightcurve |
| A | 105 | 105 | 0 | 0 | 0.00% | 0.00% |  |
| B | 105 | 105 | 0 | 0 | 0.00% | 0.00% |  |
| C | 105 | 105 | 0 | 0 | 0.00% | 0.00% |  |
| D | 105 | 105 | 22 | 22 | 20.95% | 20.95% |  |
Top noisy pixels
Top three noisy pixels from each quadrant. If the there are fewer than three noisy pixels in the level2.evt file, extra rows are filled as -1
| Pixel properties |
Quadrant properties |
| Quadrant |
DetID |
PixID |
Counts |
Sigma |
Mean |
Median |
Sigma |
| A | 0 | 199 | 1383 | 277.21 | 14 | 14 | 4.9 |
| A | 0 | 226 | 278 | 53.46 | 14 | 14 | 4.9 |
| A | 12 | 194 | 172 | 31.99 | 14 | 14 | 4.9 |
| B | 15 | 255 | 225 | 43.87 | 14 | 14 | 4.8 |
| B | 6 | 36 | 202 | 39.08 | 14 | 14 | 4.8 |
| B | 12 | 111 | 199 | 38.46 | 14 | 14 | 4.8 |
| C | 2 | 53 | 4745 | 934.86 | 14 | 14 | 5.1 |
| C | 7 | 159 | 337 | 63.83 | 14 | 14 | 5.1 |
| C | 8 | 128 | 147 | 26.28 | 14 | 14 | 5.1 |
| D | 11 | 130 | 73215 | 16845.62 | 11 | 11 | 4.3 |
| D | 11 | 131 | 9172 | 2108.12 | 11 | 11 | 4.3 |
| D | 2 | 184 | 2108 | 482.56 | 11 | 11 | 4.3 |
Detector plane histogram (DPH)
Histogram calculated using DETX and DETY for each event in the final _common_clean file
| Quadrant A |
 |
 |
Quadrant B |
| Quadrant D |
 |
 |
Quadrant C |
Count rate plots and images
| Plot type |
Count rate plots |
Images |
Comparison with Poisson distribution
Blue bars denote a histogram of data divided into 1 sec bins.
Red curve is a Poisson curve with rate = median count rate of data. |
 |
 |
Quadrant-wise count rates
Data is divided into 100 sec bins |
 |
 |
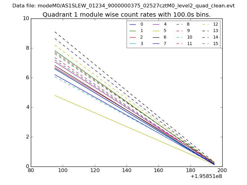
Module-wise count rates for Quadrant A
Data is divided into 100 sec bins |
 |
 |
Module-wise count rates for Quadrant B
Data is divided into 100 sec bins |
 |
 |
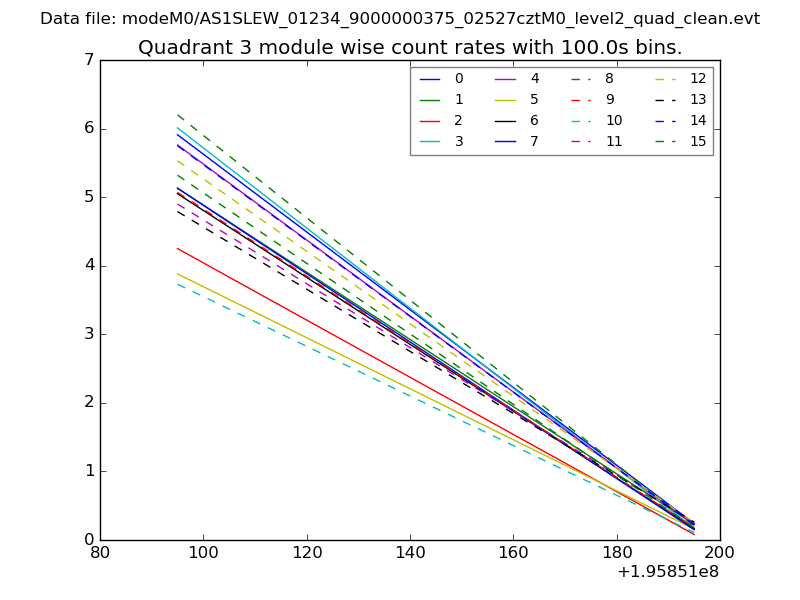
Module-wise count rates for Quadrant C
Data is divided into 100 sec bins |
 |
 |
Module-wise count rates for Quadrant D
Data is divided into 100 sec bins |
 |
 |
Housekeeping plots
| Parameter |
Plot |
| CZT HV Monitor |  |
| D_VDD |  |
| Temperature 1 |  |
| Veto HV Monitor |  |
| Veto LLD |  |
| Alpha Counter |  |
| _CPM_Rate |  |
| CZT Counter |  |
| +2.5 Volts monitor |  |
| +5 Volts monitor |  |
| Veto Counter |  |