Observation information
- date-obs: 2016-05-26
- time-obs: 22:34:22.965200000
- date-end: 2016-05-26
- time-end: 22:39:13.965700000
- obs_id: G05_246T03_9000000470
- exposure: 128.465240195
- sourceid: PG1415+451
- observer: Gordon
- ra_pnt: 214.275
- dec_pnt: 44.935
Basic statistics of files
| Param |
Original file |
Final file |
| Filename | modeM0/AS1G05_246T03_9000000470_03579cztM0_level2.evt
| modeM0/AS1G05_246T03_9000000470_03579cztM0_level2_quad_clean.evt
|
| Size (bytes) | 16,882,560 | 2,848,320 |
| Size | 16.1 MB
| 2.7 MB
|
| Events in quadrant A | 109,408 | 14,118 |
| Events in quadrant B | 135,884 | 14,168 |
| Events in quadrant C | 113,682 | 14,592 |
| Events in quadrant D | 128,688 | 14,114 |
Level1 data integrity
| Mode SS |
| Quadrant | BADHDUFLAG | Total packets | Discarded packets |
|---|
| A | 0 | 6 | 0 |
| B | 0 | 6 | 0 |
| C | 0 | 6 | 0 |
| D | 0 | 6 | 0 |
| Mode M0 |
| Quadrant | BADHDUFLAG | Total packets | Discarded packets |
|---|
| A | 0 | 581 | 1 |
| B | 0 | 599 | 0 |
| C | 0 | 581 | 0 |
| D | 0 | 624 | 0 |
Data saturation
| Quadrant | Total seconds | Saturated seconds | Saturation percentage |
|---|
| A | 291 | 0 | 0.000000% |
| B | 291 | 0 | 0.000000% |
| C | 291 | 0 | 0.000000% |
| D | 291 | 2 | 0.687285% |
Noise dominated fraction
Noise dominated data is calculated using 1-second bins in cleaned event files. If a bin has >2000 counts, and if more than 50% of those come from <1% of pixels, then it is considered to be noise-dominated and hence unusable.
| Quadrant |
# 1 sec bins |
Bins with >0 counts |
Bins with >2000 counts |
High rate bins dominated by noise |
Noise dominated (total time) |
Noise dominated (detector-on time) |
Marked lightcurve |
| A | 291 | 291 | 0 | 0 | 0.00% | 0.00% |  |
| B | 291 | 291 | 0 | 0 | 0.00% | 0.00% |  |
| C | 291 | 291 | 0 | 0 | 0.00% | 0.00% |  |
| D | 291 | 291 | 2 | 2 | 0.69% | 0.69% |  |
Top noisy pixels
Top three noisy pixels from each quadrant. If the there are fewer than three noisy pixels in the level2.evt file, extra rows are filled as -1
| Pixel properties |
Quadrant properties |
| Quadrant |
DetID |
PixID |
Counts |
Sigma |
Mean |
Median |
Sigma |
| A | 0 | 226 | 290 | 33.44 | 28 | 27 | 7.9 |
| A | 12 | 194 | 275 | 31.53 | 28 | 27 | 7.9 |
| A | 3 | 1 | 226 | 25.3 | 28 | 27 | 7.9 |
| B | 15 | 204 | 15929 | 2009.4 | 29 | 28 | 7.9 |
| B | 4 | 81 | 3359 | 420.94 | 29 | 28 | 7.9 |
| B | 10 | 246 | 2448 | 305.81 | 29 | 28 | 7.9 |
| C | 8 | 128 | 863 | 98.87 | 28 | 28 | 8.4 |
| C | 8 | 112 | 354 | 38.6 | 28 | 28 | 8.4 |
| C | 8 | 144 | 311 | 33.51 | 28 | 28 | 8.4 |
| D | 13 | 223 | 15108 | 1711.22 | 27 | 26 | 8.8 |
| D | 14 | 34 | 5246 | 592.27 | 27 | 26 | 8.8 |
| D | 5 | 233 | 2676 | 300.67 | 27 | 26 | 8.8 |
Detector plane histogram (DPH)
Histogram calculated using DETX and DETY for each event in the final _common_clean file
| Quadrant A |
 |
 |
Quadrant B |
| Quadrant D |
 |
 |
Quadrant C |
Count rate plots and images
| Plot type |
Count rate plots |
Images |
Comparison with Poisson distribution
Blue bars denote a histogram of data divided into 1 sec bins.
Red curve is a Poisson curve with rate = median count rate of data. |
 |
 |
Quadrant-wise count rates
Data is divided into 100 sec bins |
 |
 |
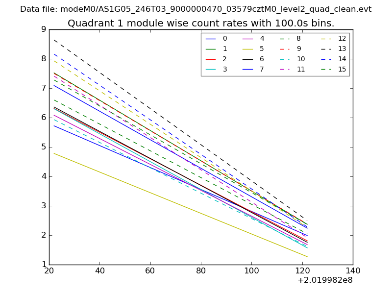
Module-wise count rates for Quadrant A
Data is divided into 100 sec bins |
 |
 |
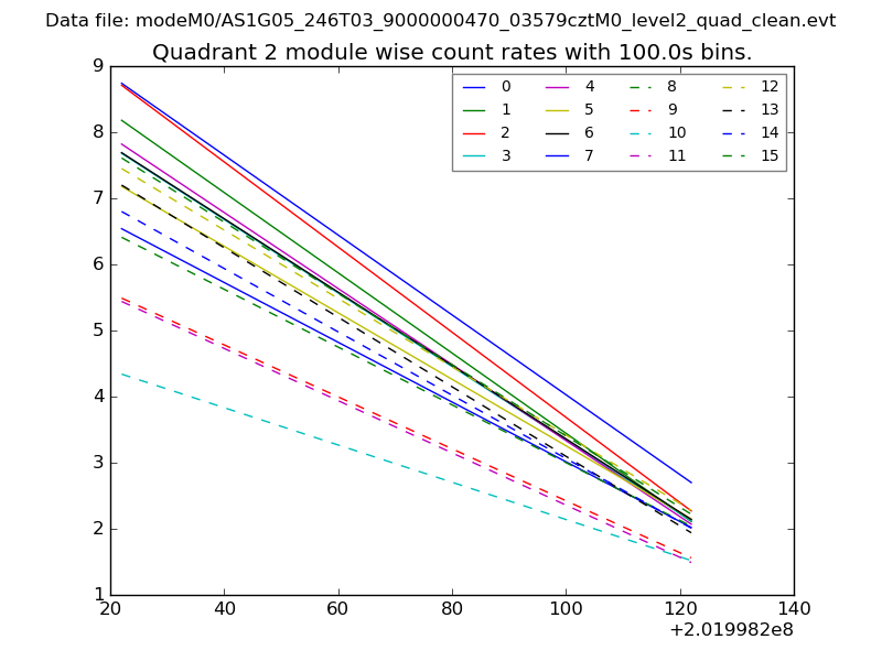
Module-wise count rates for Quadrant B
Data is divided into 100 sec bins |
 |
 |
Module-wise count rates for Quadrant C
Data is divided into 100 sec bins |
 |
 |
Module-wise count rates for Quadrant D
Data is divided into 100 sec bins |
 |
 |
Housekeeping plots
| Parameter |
Plot |
| CZT HV Monitor |  |
| D_VDD |  |
| Temperature 1 |  |
| Veto HV Monitor |  |
| Veto LLD |  |
| Alpha Counter |  |
| _CPM_Rate |  |
| CZT Counter |  |
| +2.5 Volts monitor |  |
| +5 Volts monitor |  |
| _ROLL_ROT |  |
| _Roll_DEC |  |
| _Roll_RA |  |
| Veto Counter |  |