Observation information
- date-obs: 2016-07-23
- time-obs: 09:33:35.930000000
- date-end: 2016-07-23
- time-end: 10:20:35.817800000
- obs_id: G05_214T01_9000000552
- exposure: 138.076916978
- sourceid: GRS 1915+105
- observer: jsyadav
- ra_pnt: 288.7981
- dec_pnt: 10.94578
Basic statistics of files
| Param |
Original file |
Final file |
| Filename | modeM0/AS1G05_214T01_9000000552_04430cztM0_level2.evt
| modeM0/AS1G05_214T01_9000000552_04430cztM0_level2_quad_clean.evt
|
| Size (bytes) | 159,883,200 | 6,439,680 |
| Size | 152.5 MB
| 6.1 MB
|
| Events in quadrant A | 1,081,095 | 19,489 |
| Events in quadrant B | 1,112,098 | 16,998 |
| Events in quadrant C | 868,027 | 21,019 |
| Events in quadrant D | 1,666,930 | 15,689 |
Level1 data integrity
| Mode SS |
| Quadrant | BADHDUFLAG | Total packets | Discarded packets |
|---|
| A | 0 | 36 | 0 |
| B | 0 | 36 | 0 |
| C | 0 | 36 | 0 |
| D | 0 | 36 | 0 |
| Mode M0 |
| Quadrant | BADHDUFLAG | Total packets | Discarded packets |
|---|
| A | 0 | 4297 | 2 |
| B | 0 | 4344 | 1 |
| C | 0 | 3656 | 1 |
| D | 0 | 6112 | 1 |
| Mode M9 |
| Quadrant | BADHDUFLAG | Total packets | Discarded packets |
|---|
| A | 0 | 11 | 0 |
| B | 0 | 11 | 0 |
| C | 0 | 11 | 0 |
| D | 0 | 11 | 0 |
Data saturation
| Quadrant | Total seconds | Saturated seconds | Saturation percentage |
|---|
| A | 1640 | 148 | 9.024390% |
| B | 1640 | 117 | 7.134146% |
| C | 1640 | 62 | 3.780488% |
| D | 1640 | 223 | 13.597561% |
Noise dominated fraction
Noise dominated data is calculated using 1-second bins in cleaned event files. If a bin has >2000 counts, and if more than 50% of those come from <1% of pixels, then it is considered to be noise-dominated and hence unusable.
| Quadrant |
# 1 sec bins |
Bins with >0 counts |
Bins with >2000 counts |
High rate bins dominated by noise |
Noise dominated (total time) |
Noise dominated (detector-on time) |
Marked lightcurve |
| A | 2820 | 1641 | 25 | 25 | 0.89% | 1.52% |  |
| B | 2820 | 1641 | 20 | 20 | 0.71% | 1.22% |  |
| C | 2820 | 1641 | 0 | 0 | 0.00% | 0.00% |  |
| D | 2820 | 1641 | 96 | 96 | 3.40% | 5.85% |  |
Top noisy pixels
Top three noisy pixels from each quadrant. If the there are fewer than three noisy pixels in the level2.evt file, extra rows are filled as -1
| Pixel properties |
Quadrant properties |
| Quadrant |
DetID |
PixID |
Counts |
Sigma |
Mean |
Median |
Sigma |
| A | 0 | 13 | 210739 | 4332.87 | 225 | 220 | 48.6 |
| A | 12 | 194 | 2200 | 40.75 | 225 | 220 | 48.6 |
| A | 0 | 226 | 2183 | 40.4 | 225 | 220 | 48.6 |
| B | 14 | 167 | 163018 | 3514.46 | 224 | 219 | 46.3 |
| B | 10 | 16 | 81382 | 1752.12 | 224 | 219 | 46.3 |
| B | 12 | 111 | 4197 | 85.88 | 224 | 219 | 46.3 |
| C | 9 | 247 | 7608 | 137.86 | 218 | 219 | 53.6 |
| C | 7 | 237 | 2750 | 47.22 | 218 | 219 | 53.6 |
| C | 13 | 61 | 1934 | 32.0 | 218 | 219 | 53.6 |
| D | 13 | 114 | 399583 | 7637.61 | 207 | 200 | 52.3 |
| D | 13 | 53 | 393535 | 7521.96 | 207 | 200 | 52.3 |
| D | 2 | 136 | 67698 | 1290.8 | 207 | 200 | 52.3 |
Detector plane histogram (DPH)
Histogram calculated using DETX and DETY for each event in the final _common_clean file
| Quadrant A |
 |
 |
Quadrant B |
| Quadrant D |
 |
 |
Quadrant C |
Count rate plots and images
| Plot type |
Count rate plots |
Images |
Comparison with Poisson distribution
Blue bars denote a histogram of data divided into 1 sec bins.
Red curve is a Poisson curve with rate = median count rate of data. |
 |
 |
Quadrant-wise count rates
Data is divided into 100 sec bins |
 |
 |
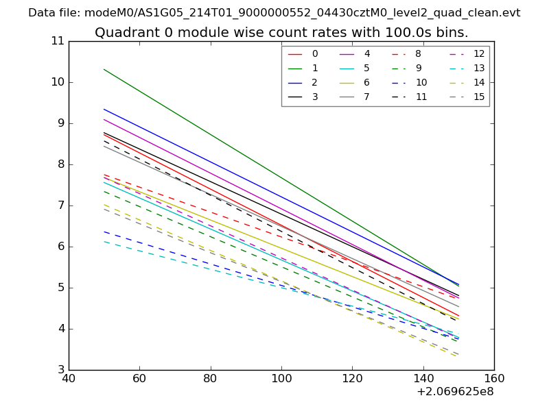
Module-wise count rates for Quadrant A
Data is divided into 100 sec bins |
 |
 |
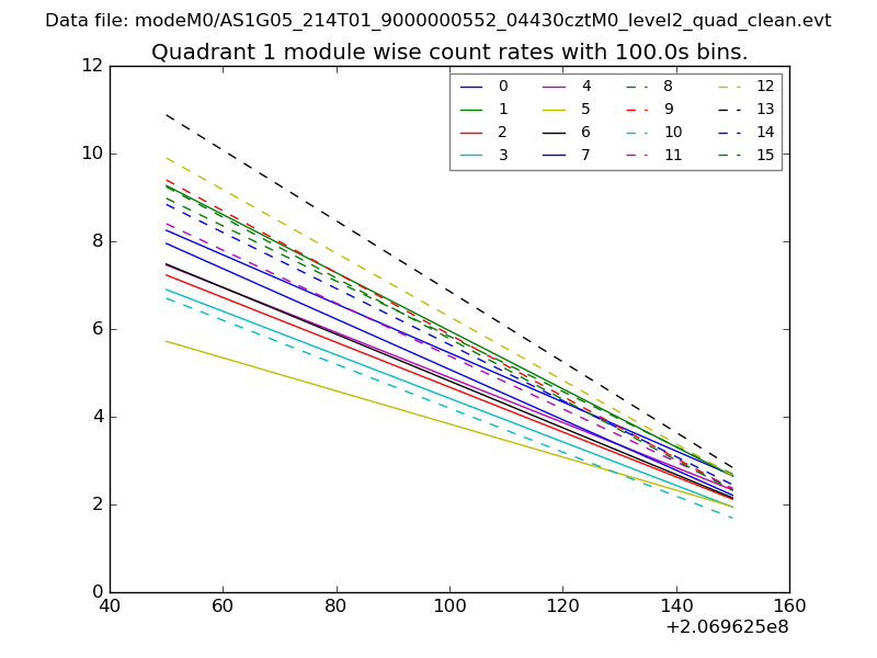
Module-wise count rates for Quadrant B
Data is divided into 100 sec bins |
 |
 |
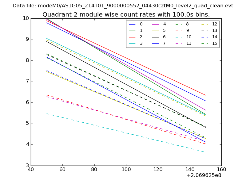
Module-wise count rates for Quadrant C
Data is divided into 100 sec bins |
 |
 |
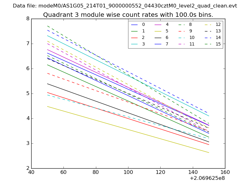
Module-wise count rates for Quadrant D
Data is divided into 100 sec bins |
 |
 |
Housekeeping plots
| Parameter |
Plot |
| CZT HV Monitor |  |
| D_VDD |  |
| Temperature 1 |  |
| Veto HV Monitor |  |
| Veto LLD |  |
| Alpha Counter |  |
| _CPM_Rate |  |
| CZT Counter |  |
| +2.5 Volts monitor |  |
| +5 Volts monitor |  |
| _ROLL_ROT |  |
| _Roll_DEC |  |
| _Roll_RA |  |
| Veto Counter |  |