Observation information
- date-obs: 2016-11-25
- time-obs: 11:54:19.113000000
- date-end: 2016-11-25
- time-end: 11:57:32.085200000
- obs_id: A02_118T01_9000000826
- exposure: 188.854171112
- sourceid: LMC X-1
- observer: anjali
- ra_pnt: 84.91183
- dec_pnt: -69.74324
Basic statistics of files
| Param |
Original file |
Final file |
| Filename | modeM0/AS1A02_118T01_9000000826_06281cztM0_level2.evt
| modeM0/AS1A02_118T01_9000000826_06281cztM0_level2_quad_clean.evt
|
| Size (bytes) | 16,626,240 | 3,882,240 |
| Size | 15.9 MB
| 3.7 MB
|
| Events in quadrant A | 146,320 | 23,348 |
| Events in quadrant B | 110,719 | 24,292 |
| Events in quadrant C | 82,999 | 24,274 |
| Events in quadrant D | 146,577 | 23,071 |
Level1 data integrity
| Mode SS |
| Quadrant | BADHDUFLAG | Total packets | Discarded packets |
|---|
| A | 0 | 4 | 0 |
| B | 0 | 4 | 0 |
| C | 0 | 4 | 0 |
| D | 0 | 4 | 0 |
| Mode M0 |
| Quadrant | BADHDUFLAG | Total packets | Discarded packets |
|---|
| A | 0 | 592 | 1 |
| B | 0 | 456 | 0 |
| C | 0 | 386 | 0 |
| D | 0 | 573 | 0 |
Data saturation
| Quadrant | Total seconds | Saturated seconds | Saturation percentage |
|---|
| A | 193 | 1 | 0.518135% |
| B | 193 | 2 | 1.036269% |
| C | 193 | 0 | 0.000000% |
| D | 193 | 4 | 2.072539% |
Noise dominated fraction
Noise dominated data is calculated using 1-second bins in cleaned event files. If a bin has >2000 counts, and if more than 50% of those come from <1% of pixels, then it is considered to be noise-dominated and hence unusable.
| Quadrant |
# 1 sec bins |
Bins with >0 counts |
Bins with >2000 counts |
High rate bins dominated by noise |
Noise dominated (total time) |
Noise dominated (detector-on time) |
Marked lightcurve |
| A | 193 | 193 | 0 | 0 | 0.00% | 0.00% |  |
| B | 193 | 193 | 0 | 0 | 0.00% | 0.00% |  |
| C | 193 | 193 | 0 | 0 | 0.00% | 0.00% |  |
| D | 193 | 193 | 4 | 4 | 2.07% | 2.07% |  |
Top noisy pixels
Top three noisy pixels from each quadrant. If the there are fewer than three noisy pixels in the level2.evt file, extra rows are filled as -1
| Pixel properties |
Quadrant properties |
| Quadrant |
DetID |
PixID |
Counts |
Sigma |
Mean |
Median |
Sigma |
| A | 8 | 15 | 59313 | 9079.75 | 22 | 21 | 6.5 |
| A | 13 | 251 | 1698 | 256.81 | 22 | 21 | 6.5 |
| A | 12 | 194 | 242 | 33.84 | 22 | 21 | 6.5 |
| B | 3 | 64 | 20000 | 3107.95 | 22 | 21 | 6.4 |
| B | 15 | 204 | 3093 | 477.88 | 22 | 21 | 6.4 |
| B | 0 | 219 | 359 | 52.58 | 22 | 21 | 6.4 |
| C | 13 | 61 | 180 | 23.89 | 21 | 21 | 6.7 |
| C | 1 | 16 | 93 | 10.82 | 21 | 21 | 6.7 |
| C | 3 | 202 | 58 | 5.56 | 21 | 21 | 6.7 |
| D | 2 | 152 | 33137 | 4769.43 | 21 | 20 | 6.9 |
| D | 2 | 63 | 19693 | 2833.26 | 21 | 20 | 6.9 |
| D | 12 | 220 | 7946 | 1141.48 | 21 | 20 | 6.9 |
Detector plane histogram (DPH)
Histogram calculated using DETX and DETY for each event in the final _common_clean file
| Quadrant A |
 |
 |
Quadrant B |
| Quadrant D |
 |
 |
Quadrant C |
Count rate plots and images
| Plot type |
Count rate plots |
Images |
Comparison with Poisson distribution
Blue bars denote a histogram of data divided into 1 sec bins.
Red curve is a Poisson curve with rate = median count rate of data. |
 |
 |
Quadrant-wise count rates
Data is divided into 100 sec bins |
 |
 |
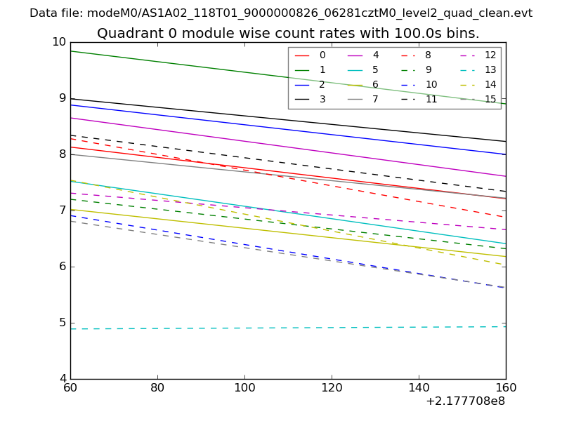
Module-wise count rates for Quadrant A
Data is divided into 100 sec bins |
 |
 |
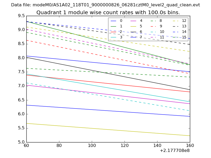
Module-wise count rates for Quadrant B
Data is divided into 100 sec bins |
 |
 |
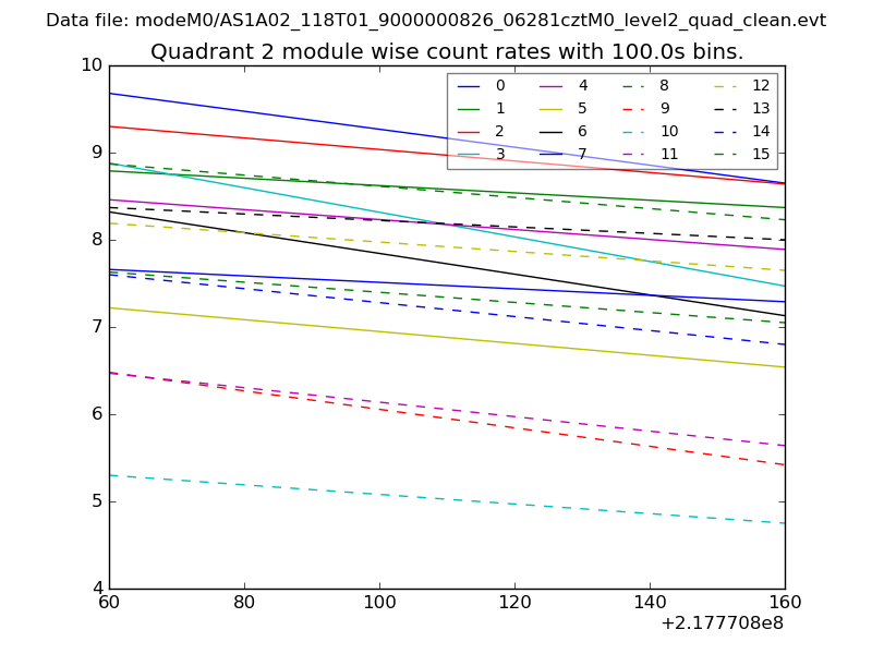
Module-wise count rates for Quadrant C
Data is divided into 100 sec bins |
 |
 |
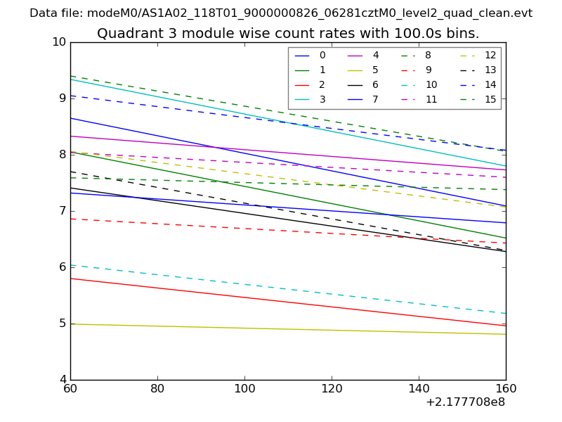
Module-wise count rates for Quadrant D
Data is divided into 100 sec bins |
 |
 |
Housekeeping plots
| Parameter |
Plot |
| CZT HV Monitor |  |
| D_VDD |  |
| Temperature 1 |  |
| Veto HV Monitor |  |
| Veto LLD |  |
| Alpha Counter |  |
| _CPM_Rate |  |
| CZT Counter |  |
| +2.5 Volts monitor |  |
| +5 Volts monitor |  |
| _ROLL_ROT |  |
| _Roll_DEC |  |
| _Roll_RA |  |
| Veto Counter |  |