Observation information
- date-obs: 2016-11-28
- time-obs: 18:10:42.950300000
- date-end: 2016-11-28
- time-end: 18:16:51.950200000
- obs_id: G06_151T01_9000000836
- exposure: 363.652415924
- sourceid: NGC 628
- observer: askpati
- ra_pnt: 24.17408
- dec_pnt: 15.7835
Basic statistics of files
| Param |
Original file |
Final file |
| Filename | modeM0/AS1G06_151T01_9000000836_06329cztM0_level2.evt
| modeM0/AS1G06_151T01_9000000836_06329cztM0_level2_quad_clean.evt
|
| Size (bytes) | 30,329,280 | 6,649,920 |
| Size | 28.9 MB
| 6.3 MB
|
| Events in quadrant A | 159,476 | 42,423 |
| Events in quadrant B | 169,626 | 42,164 |
| Events in quadrant C | 152,375 | 41,958 |
| Events in quadrant D | 408,202 | 40,107 |
Level1 data integrity
| Mode M0 |
| Quadrant | BADHDUFLAG | Total packets | Discarded packets |
|---|
| A | 0 | 739 | 1 |
| B | 0 | 771 | 0 |
| C | 0 | 738 | 0 |
| D | 0 | 1480 | 0 |
| Mode SS |
| Quadrant | BADHDUFLAG | Total packets | Discarded packets |
|---|
| A | 0 | 8 | 0 |
| B | 0 | 8 | 0 |
| C | 0 | 8 | 0 |
| D | 0 | 8 | 0 |
Data saturation
| Quadrant | Total seconds | Saturated seconds | Saturation percentage |
|---|
| A | 369 | 0 | 0.000000% |
| B | 369 | 0 | 0.000000% |
| C | 369 | 0 | 0.000000% |
| D | 369 | 17 | 4.607046% |
Noise dominated fraction
Noise dominated data is calculated using 1-second bins in cleaned event files. If a bin has >2000 counts, and if more than 50% of those come from <1% of pixels, then it is considered to be noise-dominated and hence unusable.
| Quadrant |
# 1 sec bins |
Bins with >0 counts |
Bins with >2000 counts |
High rate bins dominated by noise |
Noise dominated (total time) |
Noise dominated (detector-on time) |
Marked lightcurve |
| A | 369 | 369 | 0 | 0 | 0.00% | 0.00% |  |
| B | 369 | 369 | 0 | 0 | 0.00% | 0.00% |  |
| C | 369 | 369 | 0 | 0 | 0.00% | 0.00% |  |
| D | 369 | 369 | 17 | 17 | 4.61% | 4.61% |  |
Top noisy pixels
Top three noisy pixels from each quadrant. If the there are fewer than three noisy pixels in the level2.evt file, extra rows are filled as -1
| Pixel properties |
Quadrant properties |
| Quadrant |
DetID |
PixID |
Counts |
Sigma |
Mean |
Median |
Sigma |
| A | 3 | 1 | 3541 | 333.95 | 40 | 39 | 10.5 |
| A | 12 | 194 | 454 | 39.57 | 40 | 39 | 10.5 |
| A | 13 | 251 | 368 | 31.37 | 40 | 39 | 10.5 |
| B | 3 | 64 | 11969 | 1212.02 | 39 | 38 | 9.8 |
| B | 4 | 81 | 3015 | 302.42 | 39 | 38 | 9.8 |
| B | 0 | 214 | 1418 | 140.19 | 39 | 38 | 9.8 |
| C | 8 | 128 | 862 | 76.25 | 38 | 38 | 10.8 |
| C | 8 | 112 | 438 | 37.01 | 38 | 38 | 10.8 |
| C | 8 | 144 | 369 | 30.63 | 38 | 38 | 10.8 |
| D | 12 | 220 | 153049 | 13111.53 | 38 | 37 | 11.7 |
| D | 12 | 221 | 70960 | 6077.36 | 38 | 37 | 11.7 |
| D | 2 | 63 | 23778 | 2034.36 | 38 | 37 | 11.7 |
Detector plane histogram (DPH)
Histogram calculated using DETX and DETY for each event in the final _common_clean file
| Quadrant A |
 |
 |
Quadrant B |
| Quadrant D |
 |
 |
Quadrant C |
Count rate plots and images
| Plot type |
Count rate plots |
Images |
Comparison with Poisson distribution
Blue bars denote a histogram of data divided into 1 sec bins.
Red curve is a Poisson curve with rate = median count rate of data. |
 |
 |
Quadrant-wise count rates
Data is divided into 100 sec bins |
 |
 |
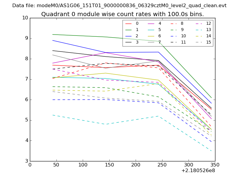
Module-wise count rates for Quadrant A
Data is divided into 100 sec bins |
 |
 |
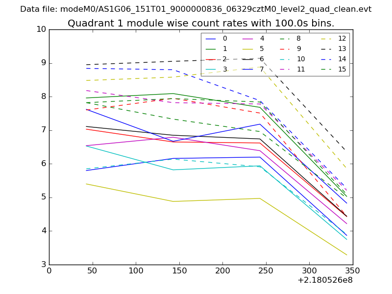
Module-wise count rates for Quadrant B
Data is divided into 100 sec bins |
 |
 |
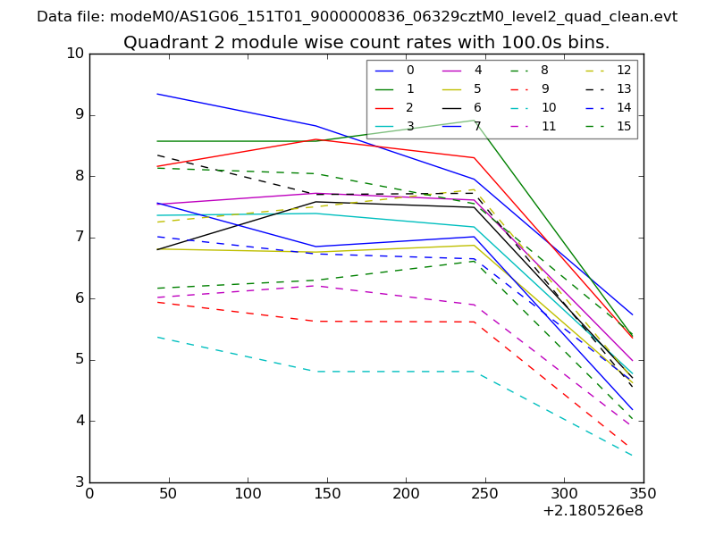
Module-wise count rates for Quadrant C
Data is divided into 100 sec bins |
 |
 |
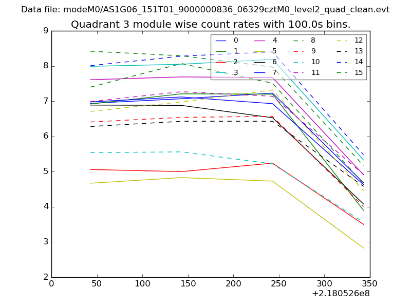
Module-wise count rates for Quadrant D
Data is divided into 100 sec bins |
 |
 |
Housekeeping plots
| Parameter |
Plot |
| CZT HV Monitor |  |
| D_VDD |  |
| Temperature 1 |  |
| Veto HV Monitor |  |
| Veto LLD |  |
| Alpha Counter |  |
| _CPM_Rate |  |
| CZT Counter |  |
| +2.5 Volts monitor |  |
| +5 Volts monitor |  |
| _ROLL_ROT |  |
| _Roll_DEC |  |
| _Roll_RA |  |
| Veto Counter |  |