Observation information
- date-obs: 2016-12-03
- time-obs: 09:04:56.926500000
- date-end: 2016-12-03
- time-end: 09:44:33.922600000
- obs_id: C02_011T01_9000000850
- exposure: 353.660810284
- sourceid: Sky-6
- observer: jsyadav
- ra_pnt: 7.645608
- dec_pnt: 12.55026
Basic statistics of files
| Param |
Original file |
Final file |
| Filename | modeM0/AS1C02_011T01_9000000850_06398cztM0_level2.evt
| modeM0/AS1C02_011T01_9000000850_06398cztM0_level2_quad_clean.evt
|
| Size (bytes) | 102,435,840 | 9,593,280 |
| Size | 97.7 MB
| 9.1 MB
|
| Events in quadrant A | 780,440 | 45,181 |
| Events in quadrant B | 741,853 | 47,756 |
| Events in quadrant C | 737,629 | 47,641 |
| Events in quadrant D | 745,233 | 45,735 |
Level1 data integrity
| Mode SS |
| Quadrant | BADHDUFLAG | Total packets | Discarded packets |
|---|
| A | 0 | 28 | 0 |
| B | 0 | 28 | 0 |
| C | 0 | 28 | 0 |
| D | 0 | 28 | 0 |
| Mode M0 |
| Quadrant | BADHDUFLAG | Total packets | Discarded packets |
|---|
| A | 0 | 3142 | 2 |
| B | 0 | 2961 | 1 |
| C | 0 | 2972 | 1 |
| D | 0 | 3027 | 1 |
| Mode M9 |
| Quadrant | BADHDUFLAG | Total packets | Discarded packets |
|---|
| A | 0 | 10 | 0 |
| B | 0 | 10 | 0 |
| C | 0 | 10 | 0 |
| D | 0 | 10 | 0 |
Data saturation
| Quadrant | Total seconds | Saturated seconds | Saturation percentage |
|---|
| A | 1385 | 36 | 2.599278% |
| B | 1385 | 39 | 2.815884% |
| C | 1385 | 22 | 1.588448% |
| D | 1385 | 27 | 1.949458% |
Noise dominated fraction
Noise dominated data is calculated using 1-second bins in cleaned event files. If a bin has >2000 counts, and if more than 50% of those come from <1% of pixels, then it is considered to be noise-dominated and hence unusable.
| Quadrant |
# 1 sec bins |
Bins with >0 counts |
Bins with >2000 counts |
High rate bins dominated by noise |
Noise dominated (total time) |
Noise dominated (detector-on time) |
Marked lightcurve |
| A | 1385 | 1385 | 0 | 0 | 0.00% | 0.00% |  |
| B | 1385 | 1385 | 0 | 0 | 0.00% | 0.00% |  |
| C | 1385 | 1385 | 0 | 0 | 0.00% | 0.00% |  |
| D | 1385 | 1385 | 0 | 0 | 0.00% | 0.00% |  |
Top noisy pixels
Top three noisy pixels from each quadrant. If the there are fewer than three noisy pixels in the level2.evt file, extra rows are filled as -1
| Pixel properties |
Quadrant properties |
| Quadrant |
DetID |
PixID |
Counts |
Sigma |
Mean |
Median |
Sigma |
| A | 15 | 236 | 34910 | 869.24 | 187 | 183 | 40.0 |
| A | 13 | 251 | 14912 | 368.68 | 187 | 183 | 40.0 |
| A | 8 | 15 | 8303 | 203.25 | 187 | 183 | 40.0 |
| B | 12 | 111 | 3781 | 93.3 | 189 | 184 | 38.5 |
| B | 11 | 111 | 2870 | 69.67 | 189 | 184 | 38.5 |
| B | 10 | 246 | 2246 | 53.48 | 189 | 184 | 38.5 |
| C | 1 | 16 | 15949 | 356.8 | 182 | 183 | 44.2 |
| C | 8 | 128 | 4909 | 106.95 | 182 | 183 | 44.2 |
| C | 8 | 112 | 2228 | 46.28 | 182 | 183 | 44.2 |
| D | 2 | 152 | 33968 | 730.85 | 182 | 176 | 46.2 |
| D | 11 | 241 | 11823 | 251.9 | 182 | 176 | 46.2 |
| D | 2 | 234 | 4622 | 96.16 | 182 | 176 | 46.2 |
Detector plane histogram (DPH)
Histogram calculated using DETX and DETY for each event in the final _common_clean file
| Quadrant A |
 |
 |
Quadrant B |
| Quadrant D |
 |
 |
Quadrant C |
Count rate plots and images
| Plot type |
Count rate plots |
Images |
Comparison with Poisson distribution
Blue bars denote a histogram of data divided into 1 sec bins.
Red curve is a Poisson curve with rate = median count rate of data. |
 |
 |
Quadrant-wise count rates
Data is divided into 100 sec bins |
 |
 |
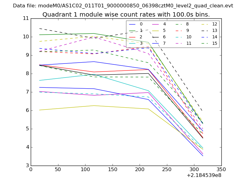
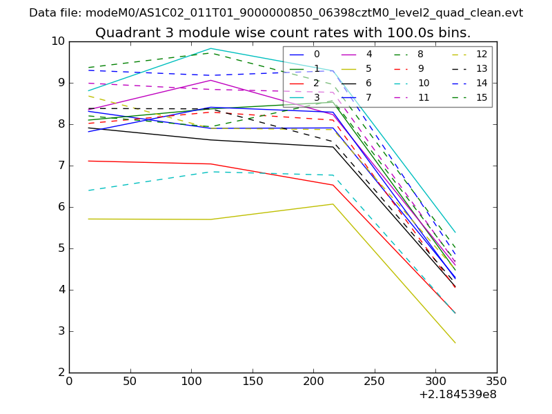
Module-wise count rates for Quadrant A
Data is divided into 100 sec bins |
 |
 |
Module-wise count rates for Quadrant B
Data is divided into 100 sec bins |
 |
 |
Module-wise count rates for Quadrant C
Data is divided into 100 sec bins |
 |
 |
Module-wise count rates for Quadrant D
Data is divided into 100 sec bins |
 |
 |
Housekeeping plots
| Parameter |
Plot |
| CZT HV Monitor |  |
| D_VDD |  |
| Temperature 1 |  |
| Veto HV Monitor |  |
| Veto LLD |  |
| Alpha Counter |  |
| _CPM_Rate |  |
| CZT Counter |  |
| +2.5 Volts monitor |  |
| +5 Volts monitor |  |
| _ROLL_ROT |  |
| _Roll_DEC |  |
| _Roll_RA |  |
| Veto Counter |  |