Observation information
- date-obs: 2016-12-12
- time-obs: 09:16:36.741200000
- date-end: 2016-12-12
- time-end: 09:46:19.741600000
- obs_id: G06_134T06_9000000878
- exposure: 325.795570105
- sourceid: SDSS J014036.22+234458.1
- observer: nkrao
- ra_pnt: 25.15083
- dec_pnt: 23.74944
Basic statistics of files
| Param |
Original file |
Final file |
| Filename | modeM0/AS1G06_134T06_9000000878_06531cztM0_level2.evt
| modeM0/AS1G06_134T06_9000000878_06531cztM0_level2_quad_clean.evt
|
| Size (bytes) | 116,187,840 | 8,930,880 |
| Size | 110.8 MB
| 8.5 MB
|
| Events in quadrant A | 868,419 | 36,197 |
| Events in quadrant B | 908,509 | 37,720 |
| Events in quadrant C | 803,172 | 38,132 |
| Events in quadrant D | 823,821 | 36,267 |
Level1 data integrity
| Mode M9 |
| Quadrant | BADHDUFLAG | Total packets | Discarded packets |
|---|
| A | 0 | 2 | 0 |
| B | 0 | 2 | 0 |
| C | 0 | 2 | 0 |
| D | 0 | 2 | 0 |
| Mode M0 |
| Quadrant | BADHDUFLAG | Total packets | Discarded packets |
|---|
| A | 0 | 3623 | 2 |
| B | 0 | 3774 | 1 |
| C | 0 | 3495 | 1 |
| D | 0 | 3570 | 1 |
| Mode SS |
| Quadrant | BADHDUFLAG | Total packets | Discarded packets |
|---|
| A | 0 | 32 | 0 |
| B | 0 | 32 | 0 |
| C | 0 | 32 | 0 |
| D | 0 | 32 | 0 |
Data saturation
| Quadrant | Total seconds | Saturated seconds | Saturation percentage |
|---|
| A | 1652 | 102 | 6.174334% |
| B | 1652 | 141 | 8.535109% |
| C | 1652 | 64 | 3.874092% |
| D | 1652 | 69 | 4.176755% |
Noise dominated fraction
Noise dominated data is calculated using 1-second bins in cleaned event files. If a bin has >2000 counts, and if more than 50% of those come from <1% of pixels, then it is considered to be noise-dominated and hence unusable.
| Quadrant |
# 1 sec bins |
Bins with >0 counts |
Bins with >2000 counts |
High rate bins dominated by noise |
Noise dominated (total time) |
Noise dominated (detector-on time) |
Marked lightcurve |
| A | 1677 | 1653 | 0 | 0 | 0.00% | 0.00% |  |
| B | 1677 | 1653 | 18 | 18 | 1.07% | 1.09% |  |
| C | 1677 | 1653 | 0 | 0 | 0.00% | 0.00% |  |
| D | 1677 | 1653 | 1 | 1 | 0.06% | 0.06% |  |
Top noisy pixels
Top three noisy pixels from each quadrant. If the there are fewer than three noisy pixels in the level2.evt file, extra rows are filled as -1
| Pixel properties |
Quadrant properties |
| Quadrant |
DetID |
PixID |
Counts |
Sigma |
Mean |
Median |
Sigma |
| A | 14 | 111 | 36255 | 807.7 | 204 | 198 | 44.6 |
| A | 8 | 15 | 27454 | 610.55 | 204 | 198 | 44.6 |
| A | 8 | 4 | 13090 | 288.79 | 204 | 198 | 44.6 |
| B | 0 | 219 | 63942 | 1504.76 | 206 | 200 | 42.4 |
| B | 4 | 172 | 22876 | 535.31 | 206 | 200 | 42.4 |
| B | 4 | 81 | 15265 | 355.64 | 206 | 200 | 42.4 |
| C | 8 | 128 | 5255 | 102.01 | 202 | 202 | 49.5 |
| C | 8 | 112 | 2209 | 40.52 | 202 | 202 | 49.5 |
| C | 8 | 144 | 2001 | 36.32 | 202 | 202 | 49.5 |
| D | 2 | 33 | 43194 | 841.68 | 200 | 193 | 51.1 |
| D | 13 | 169 | 7793 | 148.76 | 200 | 193 | 51.1 |
| D | 2 | 206 | 7744 | 147.8 | 200 | 193 | 51.1 |
Detector plane histogram (DPH)
Histogram calculated using DETX and DETY for each event in the final _common_clean file
| Quadrant A |
 |
 |
Quadrant B |
| Quadrant D |
 |
 |
Quadrant C |
Count rate plots and images
| Plot type |
Count rate plots |
Images |
Comparison with Poisson distribution
Blue bars denote a histogram of data divided into 1 sec bins.
Red curve is a Poisson curve with rate = median count rate of data. |
 |
 |
Quadrant-wise count rates
Data is divided into 100 sec bins |
 |
 |
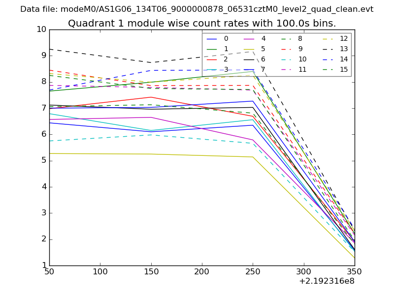
Module-wise count rates for Quadrant A
Data is divided into 100 sec bins |
 |
 |
Module-wise count rates for Quadrant B
Data is divided into 100 sec bins |
 |
 |
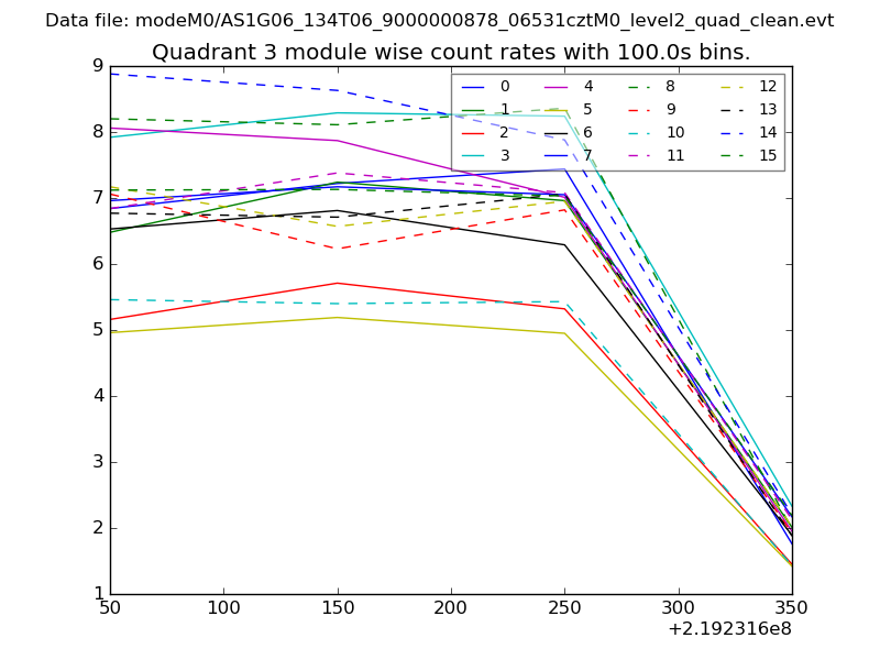
Module-wise count rates for Quadrant C
Data is divided into 100 sec bins |
 |
 |
Module-wise count rates for Quadrant D
Data is divided into 100 sec bins |
 |
 |
Housekeeping plots
| Parameter |
Plot |
| CZT HV Monitor |  |
| D_VDD |  |
| Temperature 1 |  |
| Veto HV Monitor |  |
| Veto LLD |  |
| Alpha Counter |  |
| _CPM_Rate |  |
| CZT Counter |  |
| +2.5 Volts monitor |  |
| +5 Volts monitor |  |
| _ROLL_ROT |  |
| _Roll_DEC |  |
| _Roll_RA |  |
| Veto Counter |  |