Observation information
- date-obs: 2016-12-16
- time-obs: 08:59:21.695400000
- date-end: 2016-12-16
- time-end: 09:35:35.696300000
- obs_id: C02_002T01_9000000888
- exposure: 129.559264667
- sourceid: HZ4
- observer: annapurni
- ra_pnt: 58.84163
- dec_pnt: 9.788333
Basic statistics of files
| Param |
Original file |
Final file |
| Filename | modeM0/AS1C02_002T01_9000000888_06590cztM0_level2.evt
| modeM0/AS1C02_002T01_9000000888_06590cztM0_level2_quad_clean.evt
|
| Size (bytes) | 176,630,400 | 7,165,440 |
| Size | 168.4 MB
| 6.8 MB
|
| Events in quadrant A | 1,181,706 | 15,816 |
| Events in quadrant B | 1,169,168 | 16,049 |
| Events in quadrant C | 1,153,151 | 15,328 |
| Events in quadrant D | 1,698,253 | 14,926 |
Level1 data integrity
| Mode SS |
| Quadrant | BADHDUFLAG | Total packets | Discarded packets |
|---|
| A | 0 | 44 | 0 |
| B | 0 | 44 | 0 |
| C | 0 | 44 | 0 |
| D | 0 | 44 | 0 |
| Mode M0 |
| Quadrant | BADHDUFLAG | Total packets | Discarded packets |
|---|
| A | 0 | 4901 | 3 |
| B | 0 | 4805 | 2 |
| C | 0 | 4809 | 2 |
| D | 0 | 6481 | 2 |
Data saturation
| Quadrant | Total seconds | Saturated seconds | Saturation percentage |
|---|
| A | 2119 | 305 | 14.393582% |
| B | 2119 | 274 | 12.930628% |
| C | 2119 | 176 | 8.305805% |
| D | 2119 | 316 | 14.912695% |
Noise dominated fraction
Noise dominated data is calculated using 1-second bins in cleaned event files. If a bin has >2000 counts, and if more than 50% of those come from <1% of pixels, then it is considered to be noise-dominated and hence unusable.
| Quadrant |
# 1 sec bins |
Bins with >0 counts |
Bins with >2000 counts |
High rate bins dominated by noise |
Noise dominated (total time) |
Noise dominated (detector-on time) |
Marked lightcurve |
| A | 2174 | 2121 | 0 | 0 | 0.00% | 0.00% |  |
| B | 2174 | 2121 | 0 | 0 | 0.00% | 0.00% |  |
| C | 2174 | 2121 | 0 | 0 | 0.00% | 0.00% |  |
| D | 2174 | 2121 | 99 | 99 | 4.55% | 4.67% |  |
Top noisy pixels
Top three noisy pixels from each quadrant. If the there are fewer than three noisy pixels in the level2.evt file, extra rows are filled as -1
| Pixel properties |
Quadrant properties |
| Quadrant |
DetID |
PixID |
Counts |
Sigma |
Mean |
Median |
Sigma |
| A | 14 | 111 | 60578 | 957.53 | 288 | 278 | 63.0 |
| A | 8 | 15 | 12594 | 195.57 | 288 | 278 | 63.0 |
| A | 0 | 226 | 2726 | 38.87 | 288 | 278 | 63.0 |
| B | 0 | 219 | 21616 | 347.36 | 293 | 283 | 61.4 |
| B | 12 | 111 | 6616 | 103.12 | 293 | 283 | 61.4 |
| B | 11 | 111 | 5144 | 79.15 | 293 | 283 | 61.4 |
| C | 8 | 128 | 5536 | 73.4 | 292 | 292 | 71.4 |
| C | 8 | 112 | 2508 | 31.02 | 292 | 292 | 71.4 |
| C | 13 | 61 | 2369 | 29.07 | 292 | 292 | 71.4 |
| D | 2 | 33 | 477241 | 6639.98 | 280 | 270 | 71.8 |
| D | 2 | 14 | 74176 | 1028.86 | 280 | 270 | 71.8 |
| D | 2 | 136 | 53350 | 738.93 | 280 | 270 | 71.8 |
Detector plane histogram (DPH)
Histogram calculated using DETX and DETY for each event in the final _common_clean file
| Quadrant A |
 |
 |
Quadrant B |
| Quadrant D |
 |
 |
Quadrant C |
Count rate plots and images
| Plot type |
Count rate plots |
Images |
Comparison with Poisson distribution
Blue bars denote a histogram of data divided into 1 sec bins.
Red curve is a Poisson curve with rate = median count rate of data. |
 |
 |
Quadrant-wise count rates
Data is divided into 100 sec bins |
 |
 |
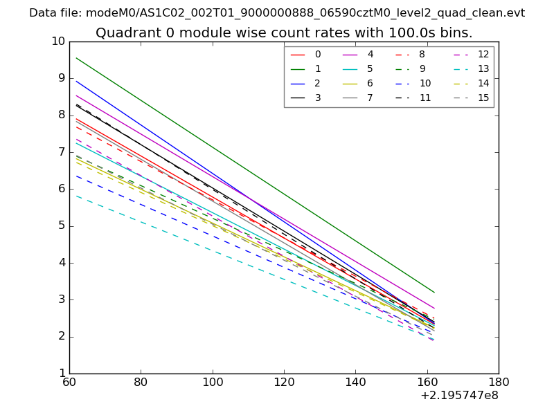
Module-wise count rates for Quadrant A
Data is divided into 100 sec bins |
 |
 |
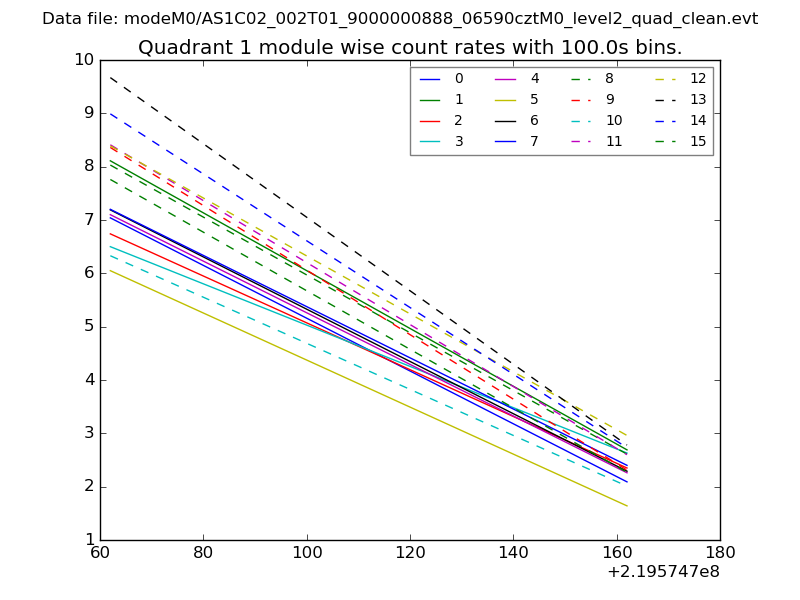
Module-wise count rates for Quadrant B
Data is divided into 100 sec bins |
 |
 |
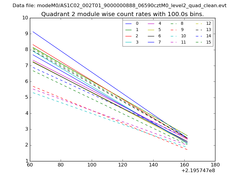
Module-wise count rates for Quadrant C
Data is divided into 100 sec bins |
 |
 |
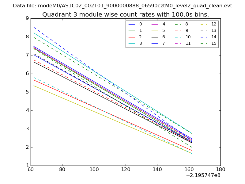
Module-wise count rates for Quadrant D
Data is divided into 100 sec bins |
 |
 |
Housekeeping plots
| Parameter |
Plot |
| CZT HV Monitor |  |
| D_VDD |  |
| Temperature 1 |  |
| Veto HV Monitor |  |
| Veto LLD |  |
| Alpha Counter |  |
| _CPM_Rate |  |
| CZT Counter |  |
| +2.5 Volts monitor |  |
| +5 Volts monitor |  |
| _ROLL_ROT |  |
| _Roll_DEC |  |
| _Roll_RA |  |
| Veto Counter |  |