Observation information
- date-obs: 2016-12-22
- time-obs: 08:12:31.796600000
- date-end: 2016-12-22
- time-end: 08:48:16.798400000
- obs_id: G06_102T01_9000000912
- exposure: 410.446701065
- sourceid: Mkn421
- observer: jsyadav
- ra_pnt: 166.1138
- dec_pnt: 38.20883
Basic statistics of files
| Param |
Original file |
Final file |
| Filename | modeM0/AS1G06_102T01_9000000912_06680cztM0_level2.evt
| modeM0/AS1G06_102T01_9000000912_06680cztM0_level2_quad_clean.evt
|
| Size (bytes) | 145,785,600 | 10,175,040 |
| Size | 139.0 MB
| 9.7 MB
|
| Events in quadrant A | 823,723 | 45,800 |
| Events in quadrant B | 1,069,380 | 48,086 |
| Events in quadrant C | 724,990 | 46,104 |
| Events in quadrant D | 1,680,446 | 44,170 |
Level1 data integrity
| Mode SS |
| Quadrant | BADHDUFLAG | Total packets | Discarded packets |
|---|
| A | 0 | 38 | 6 |
| B | 0 | 36 | 4 |
| C | 0 | 40 | 8 |
| D | 0 | 39 | 7 |
| Mode M0 |
| Quadrant | BADHDUFLAG | Total packets | Discarded packets |
|---|
| A | 0 | 4122 | 539 |
| B | 0 | 4827 | 533 |
| C | 0 | 3961 | 538 |
| D | 0 | 6799 | 614 |
Data saturation
| Quadrant | Total seconds | Saturated seconds | Saturation percentage |
|---|
| A | 1681 | 9 | 0.535396% |
| B | 1678 | 43 | 2.562574% |
| C | 1681 | 4 | 0.237954% |
| D | 1680 | 384 | 22.857143% |
Noise dominated fraction
Noise dominated data is calculated using 1-second bins in cleaned event files. If a bin has >2000 counts, and if more than 50% of those come from <1% of pixels, then it is considered to be noise-dominated and hence unusable.
| Quadrant |
# 1 sec bins |
Bins with >0 counts |
Bins with >2000 counts |
High rate bins dominated by noise |
Noise dominated (total time) |
Noise dominated (detector-on time) |
Marked lightcurve |
| A | 2145 | 1708 | 2 | 2 | 0.09% | 0.12% |  |
| B | 2145 | 1703 | 23 | 23 | 1.07% | 1.35% |  |
| C | 2145 | 1706 | 3 | 3 | 0.14% | 0.18% |  |
| D | 2145 | 1701 | 306 | 306 | 14.27% | 17.99% |  |
Top noisy pixels
Top three noisy pixels from each quadrant. If the there are fewer than three noisy pixels in the level2.evt file, extra rows are filled as -1
| Pixel properties |
Quadrant properties |
| Quadrant |
DetID |
PixID |
Counts |
Sigma |
Mean |
Median |
Sigma |
| A | 13 | 251 | 90724 | 2233.66 | 186 | 182 | 40.5 |
| A | 8 | 15 | 7407 | 178.24 | 186 | 182 | 40.5 |
| A | 14 | 111 | 6704 | 160.9 | 186 | 182 | 40.5 |
| B | 0 | 228 | 149941 | 4027.09 | 183 | 178 | 37.2 |
| B | 0 | 219 | 80465 | 2158.9 | 183 | 178 | 37.2 |
| B | 0 | 214 | 53605 | 1436.64 | 183 | 178 | 37.2 |
| C | 4 | 254 | 27143 | 625.33 | 178 | 178 | 43.1 |
| C | 13 | 61 | 1385 | 27.99 | 178 | 178 | 43.1 |
| C | 1 | 3 | 991 | 18.85 | 178 | 178 | 43.1 |
| D | 2 | 33 | 914307 | 22677.88 | 155 | 149 | 40.3 |
| D | 13 | 105 | 74632 | 1847.73 | 155 | 149 | 40.3 |
| D | 8 | 195 | 61563 | 1523.52 | 155 | 149 | 40.3 |
Detector plane histogram (DPH)
Histogram calculated using DETX and DETY for each event in the final _common_clean file
| Quadrant A |
 |
 |
Quadrant B |
| Quadrant D |
 |
 |
Quadrant C |
Count rate plots and images
| Plot type |
Count rate plots |
Images |
Comparison with Poisson distribution
Blue bars denote a histogram of data divided into 1 sec bins.
Red curve is a Poisson curve with rate = median count rate of data. |
 |
 |
Quadrant-wise count rates
Data is divided into 100 sec bins |
 |
 |
Module-wise count rates for Quadrant A
Data is divided into 100 sec bins |
 |
 |
Module-wise count rates for Quadrant B
Data is divided into 100 sec bins |
 |
 |
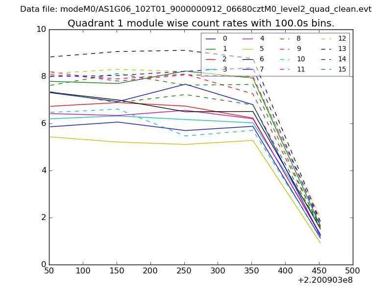
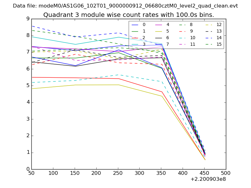
Module-wise count rates for Quadrant C
Data is divided into 100 sec bins |
 |
 |
Module-wise count rates for Quadrant D
Data is divided into 100 sec bins |
 |
 |
Housekeeping plots
| Parameter |
Plot |
| CZT HV Monitor |  |
| D_VDD |  |
| Temperature 1 |  |
| Veto HV Monitor |  |
| Veto LLD |  |
| Alpha Counter |  |
| _CPM_Rate |  |
| CZT Counter |  |
| +2.5 Volts monitor |  |
| +5 Volts monitor |  |
| _ROLL_ROT |  |
| _Roll_DEC |  |
| _Roll_RA |  |
| Veto Counter |  |