Observation information
- date-obs: 2017-01-28
- time-obs: 01:09:56.195900000
- date-end: 2017-01-28
- time-end: 01:31:59.194900000
- obs_id: A02_111T01_9000000986
- exposure: 202.524883643
- sourceid: Cen X-3
- observer: nirmal
- ra_pnt: 170.3158
- dec_pnt: -60.623
Basic statistics of files
| Param |
Original file |
Final file |
| Filename | modeM0/AS1A02_111T01_9000000986_07223cztM0_level2.evt
| modeM0/AS1A02_111T01_9000000986_07223cztM0_level2_quad_clean.evt
|
| Size (bytes) | 18,218,880 | 5,169,600 |
| Size | 17.4 MB
| 4.9 MB
|
| Events in quadrant A | 128,824 | 32,708 |
| Events in quadrant B | 151,492 | 34,444 |
| Events in quadrant C | 125,212 | 34,262 |
| Events in quadrant D | 128,515 | 31,772 |
Level1 data integrity
| Mode SS |
| Quadrant | BADHDUFLAG | Total packets | Discarded packets |
|---|
| A | 0 | 4 | 0 |
| B | 0 | 4 | 0 |
| C | 0 | 4 | 0 |
| D | 0 | 4 | 0 |
| Mode M0 |
| Quadrant | BADHDUFLAG | Total packets | Discarded packets |
|---|
| A | 0 | 546 | 1 |
| B | 0 | 600 | 1 |
| C | 0 | 507 | 1 |
| D | 0 | 519 | 1 |
| Mode M9 |
| Quadrant | BADHDUFLAG | Total packets | Discarded packets |
|---|
| A | 0 | 11 | 0 |
| B | 0 | 11 | 0 |
| C | 0 | 11 | 0 |
| D | 0 | 12 | 0 |
Data saturation
| Quadrant | Total seconds | Saturated seconds | Saturation percentage |
|---|
| A | 206 | 4 | 1.941748% |
| B | 206 | 9 | 4.368932% |
| C | 206 | 2 | 0.970874% |
| D | 206 | 3 | 1.456311% |
Noise dominated fraction
Noise dominated data is calculated using 1-second bins in cleaned event files. If a bin has >2000 counts, and if more than 50% of those come from <1% of pixels, then it is considered to be noise-dominated and hence unusable.
| Quadrant |
# 1 sec bins |
Bins with >0 counts |
Bins with >2000 counts |
High rate bins dominated by noise |
Noise dominated (total time) |
Noise dominated (detector-on time) |
Marked lightcurve |
| A | 206 | 206 | 0 | 0 | 0.00% | 0.00% |  |
| B | 206 | 206 | 3 | 3 | 1.46% | 1.46% |  |
| C | 206 | 206 | 0 | 0 | 0.00% | 0.00% |  |
| D | 206 | 206 | 1 | 1 | 0.49% | 0.49% |  |
Top noisy pixels
Top three noisy pixels from each quadrant. If the there are fewer than three noisy pixels in the level2.evt file, extra rows are filled as -1
| Pixel properties |
Quadrant properties |
| Quadrant |
DetID |
PixID |
Counts |
Sigma |
Mean |
Median |
Sigma |
| A | 14 | 111 | 8633 | 1063.96 | 29 | 28 | 8.1 |
| A | 8 | 15 | 5158 | 634.29 | 29 | 28 | 8.1 |
| A | 3 | 1 | 1188 | 143.43 | 29 | 28 | 8.1 |
| B | 4 | 81 | 28070 | 3579.7 | 30 | 30 | 7.8 |
| B | 0 | 219 | 1979 | 248.82 | 30 | 30 | 7.8 |
| B | 0 | 214 | 1687 | 211.54 | 30 | 30 | 7.8 |
| C | 9 | 68 | 9017 | 1037.61 | 29 | 29 | 8.7 |
| C | 1 | 16 | 373 | 39.71 | 29 | 29 | 8.7 |
| C | 7 | 159 | 226 | 22.74 | 29 | 29 | 8.7 |
| D | 2 | 216 | 11186 | 1255.9 | 28 | 27 | 8.9 |
| D | 12 | 221 | 2427 | 270.11 | 28 | 27 | 8.9 |
| D | 2 | 14 | 2380 | 264.82 | 28 | 27 | 8.9 |
Detector plane histogram (DPH)
Histogram calculated using DETX and DETY for each event in the final _common_clean file
| Quadrant A |
 |
 |
Quadrant B |
| Quadrant D |
 |
 |
Quadrant C |
Count rate plots and images
| Plot type |
Count rate plots |
Images |
Comparison with Poisson distribution
Blue bars denote a histogram of data divided into 1 sec bins.
Red curve is a Poisson curve with rate = median count rate of data. |
 |
 |
Quadrant-wise count rates
Data is divided into 100 sec bins |
 |
 |
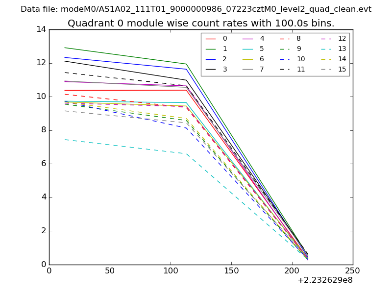
Module-wise count rates for Quadrant A
Data is divided into 100 sec bins |
 |
 |
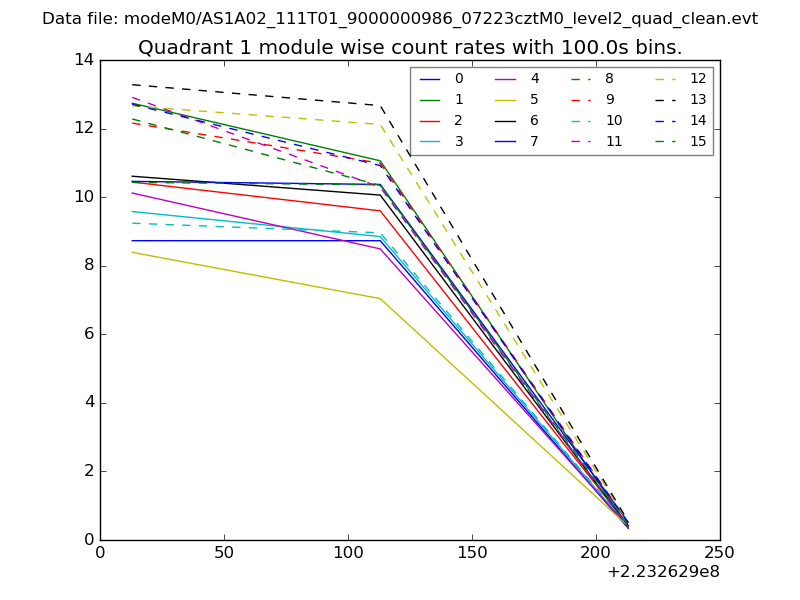
Module-wise count rates for Quadrant B
Data is divided into 100 sec bins |
 |
 |
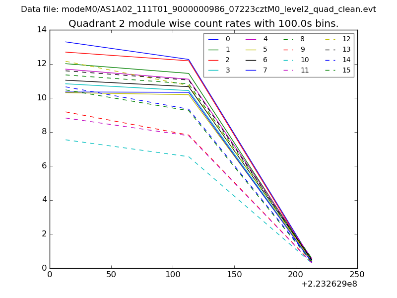
Module-wise count rates for Quadrant C
Data is divided into 100 sec bins |
 |
 |
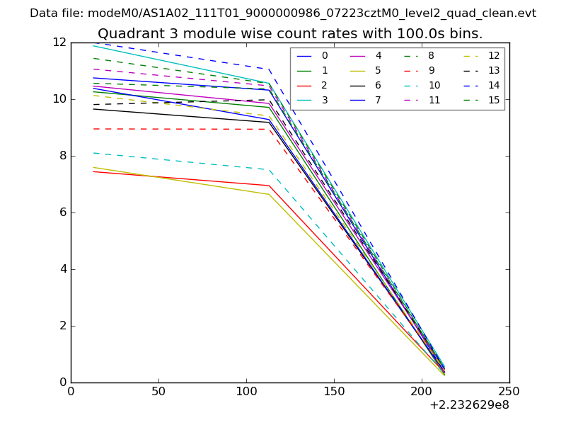
Module-wise count rates for Quadrant D
Data is divided into 100 sec bins |
 |
 |
Housekeeping plots
| Parameter |
Plot |
| CZT HV Monitor |  |
| D_VDD |  |
| Temperature 1 |  |
| Veto HV Monitor |  |
| Veto LLD |  |
| Alpha Counter |  |
| _CPM_Rate |  |
| CZT Counter |  |
| +2.5 Volts monitor |  |
| +5 Volts monitor |  |
| _ROLL_ROT |  |
| _Roll_DEC |  |
| _Roll_RA |  |
| Veto Counter |  |