Observation information
- date-obs: 2017-03-21
- time-obs: 21:54:41.620500000
- date-end: 2017-03-21
- time-end: 21:58:46.620700000
- obs_id: G06_154T01_9000001100
- exposure: 239.170999318
- sourceid: Coma B
- observer: kanak
- ra_pnt: 194.7125
- dec_pnt: 27.71667
Basic statistics of files
| Param |
Original file |
Final file |
| Filename | modeM0/AS1G06_154T01_9000001100_08004cztM0_level2.evt
| modeM0/AS1G06_154T01_9000001100_08004cztM0_level2_quad_clean.evt
|
| Size (bytes) | 20,191,680 | 5,114,880 |
| Size | 19.3 MB
| 4.9 MB
|
| Events in quadrant A | 107,923 | 32,179 |
| Events in quadrant B | 112,961 | 33,188 |
| Events in quadrant C | 111,739 | 33,500 |
| Events in quadrant D | 258,239 | 29,748 |
Level1 data integrity
| Mode SS |
| Quadrant | BADHDUFLAG | Total packets | Discarded packets |
|---|
| A | 0 | 6 | 0 |
| B | 0 | 6 | 0 |
| C | 0 | 6 | 0 |
| D | 0 | 6 | 0 |
| Mode M0 |
| Quadrant | BADHDUFLAG | Total packets | Discarded packets |
|---|
| A | 0 | 491 | 1 |
| B | 0 | 491 | 0 |
| C | 0 | 490 | 0 |
| D | 0 | 950 | 0 |
Data saturation
| Quadrant | Total seconds | Saturated seconds | Saturation percentage |
|---|
| A | 245 | 0 | 0.000000% |
| B | 245 | 0 | 0.000000% |
| C | 245 | 0 | 0.000000% |
| D | 245 | 25 | 10.204082% |
Noise dominated fraction
Noise dominated data is calculated using 1-second bins in cleaned event files. If a bin has >2000 counts, and if more than 50% of those come from <1% of pixels, then it is considered to be noise-dominated and hence unusable.
| Quadrant |
# 1 sec bins |
Bins with >0 counts |
Bins with >2000 counts |
High rate bins dominated by noise |
Noise dominated (total time) |
Noise dominated (detector-on time) |
Marked lightcurve |
| A | 245 | 245 | 0 | 0 | 0.00% | 0.00% |  |
| B | 245 | 245 | 0 | 0 | 0.00% | 0.00% |  |
| C | 245 | 245 | 0 | 0 | 0.00% | 0.00% |  |
| D | 245 | 245 | 17 | 17 | 6.94% | 6.94% |  |
Top noisy pixels
Top three noisy pixels from each quadrant. If the there are fewer than three noisy pixels in the level2.evt file, extra rows are filled as -1
| Pixel properties |
Quadrant properties |
| Quadrant |
DetID |
PixID |
Counts |
Sigma |
Mean |
Median |
Sigma |
| A | 13 | 251 | 309 | 37.09 | 27 | 27 | 7.6 |
| A | 13 | 254 | 274 | 32.49 | 27 | 27 | 7.6 |
| A | 12 | 194 | 237 | 27.62 | 27 | 27 | 7.6 |
| B | 5 | 250 | 581 | 73.78 | 28 | 28 | 7.5 |
| B | 12 | 111 | 579 | 73.52 | 28 | 28 | 7.5 |
| B | 11 | 111 | 466 | 58.44 | 28 | 28 | 7.5 |
| C | 14 | 67 | 217 | 22.31 | 28 | 28 | 8.5 |
| C | 13 | 61 | 190 | 19.12 | 28 | 28 | 8.5 |
| C | 1 | 16 | 99 | 8.38 | 28 | 28 | 8.5 |
| D | 2 | 14 | 79180 | 9307.05 | 26 | 25 | 8.5 |
| D | 1 | 83 | 39250 | 4612.08 | 26 | 25 | 8.5 |
| D | 2 | 136 | 28326 | 3327.63 | 26 | 25 | 8.5 |
Detector plane histogram (DPH)
Histogram calculated using DETX and DETY for each event in the final _common_clean file
| Quadrant A |
 |
 |
Quadrant B |
| Quadrant D |
 |
 |
Quadrant C |
Count rate plots and images
| Plot type |
Count rate plots |
Images |
Comparison with Poisson distribution
Blue bars denote a histogram of data divided into 1 sec bins.
Red curve is a Poisson curve with rate = median count rate of data. |
 |
 |
Quadrant-wise count rates
Data is divided into 100 sec bins |
 |
 |
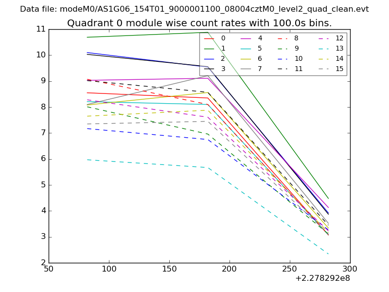
Module-wise count rates for Quadrant A
Data is divided into 100 sec bins |
 |
 |
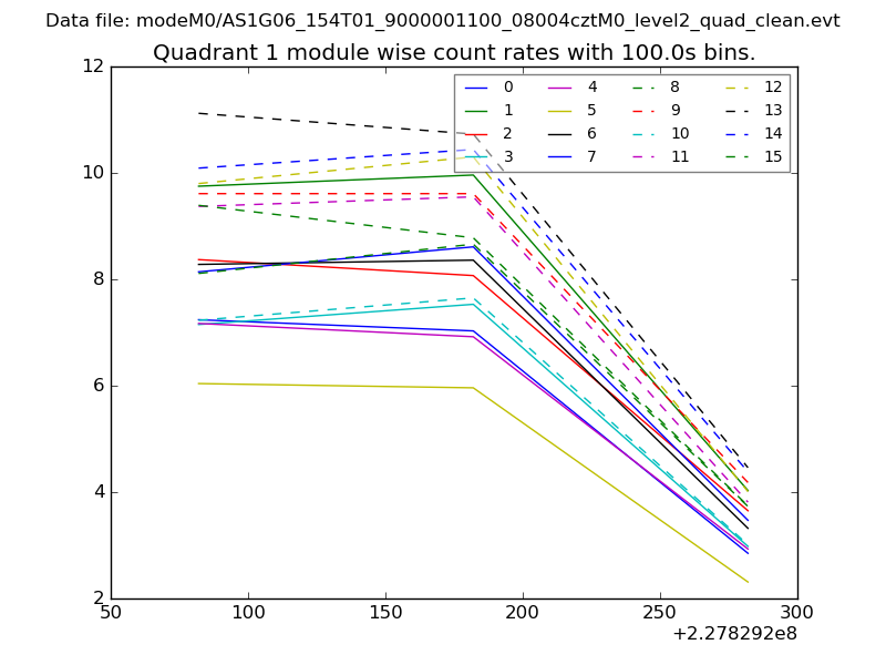
Module-wise count rates for Quadrant B
Data is divided into 100 sec bins |
 |
 |
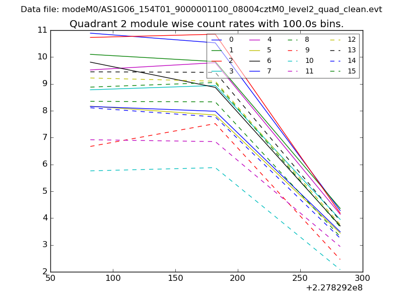
Module-wise count rates for Quadrant C
Data is divided into 100 sec bins |
 |
 |
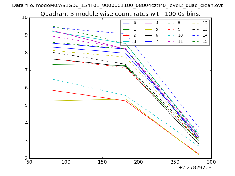
Module-wise count rates for Quadrant D
Data is divided into 100 sec bins |
 |
 |
Housekeeping plots
| Parameter |
Plot |
| CZT HV Monitor |  |
| D_VDD |  |
| Temperature 1 |  |
| Veto HV Monitor |  |
| Veto LLD |  |
| Alpha Counter |  |
| _CPM_Rate |  |
| CZT Counter |  |
| +2.5 Volts monitor |  |
| +5 Volts monitor |  |
| _ROLL_ROT |  |
| _Roll_DEC |  |
| _Roll_RA |  |
| Veto Counter |  |