Observation information
- date-obs: 2017-04-01
- time-obs: 00:03:21.468900000
- date-end: 2017-04-01
- time-end: 00:07:04.469300000
- obs_id: G07_046T01_9000001124
- exposure: 219.134815052
- sourceid: GRS 1915+105
- observer: jsyadav
- ra_pnt: 288.7981
- dec_pnt: 10.94578
Basic statistics of files
| Param |
Original file |
Final file |
| Filename | modeM0/AS1G07_046T01_9000001124_08153cztM0_level2.evt
| modeM0/AS1G07_046T01_9000001124_08153cztM0_level2_quad_clean.evt
|
| Size (bytes) | 13,913,280 | 4,343,040 |
| Size | 13.3 MB
| 4.1 MB
|
| Events in quadrant A | 94,249 | 26,860 |
| Events in quadrant B | 116,015 | 26,738 |
| Events in quadrant C | 96,354 | 27,454 |
| Events in quadrant D | 95,886 | 26,010 |
Level1 data integrity
| Mode M0 |
| Quadrant | BADHDUFLAG | Total packets | Discarded packets |
|---|
| A | 0 | 448 | 1 |
| B | 0 | 495 | 0 |
| C | 0 | 446 | 0 |
| D | 0 | 449 | 0 |
| Mode SS |
| Quadrant | BADHDUFLAG | Total packets | Discarded packets |
|---|
| A | 0 | 4 | 0 |
| B | 0 | 4 | 0 |
| C | 0 | 4 | 0 |
| D | 0 | 4 | 0 |
Data saturation
| Quadrant | Total seconds | Saturated seconds | Saturation percentage |
|---|
| A | 223 | 0 | 0.000000% |
| B | 223 | 1 | 0.448430% |
| C | 223 | 0 | 0.000000% |
| D | 223 | 0 | 0.000000% |
Noise dominated fraction
Noise dominated data is calculated using 1-second bins in cleaned event files. If a bin has >2000 counts, and if more than 50% of those come from <1% of pixels, then it is considered to be noise-dominated and hence unusable.
| Quadrant |
# 1 sec bins |
Bins with >0 counts |
Bins with >2000 counts |
High rate bins dominated by noise |
Noise dominated (total time) |
Noise dominated (detector-on time) |
Marked lightcurve |
| A | 223 | 223 | 0 | 0 | 0.00% | 0.00% |  |
| B | 223 | 223 | 0 | 0 | 0.00% | 0.00% |  |
| C | 223 | 223 | 0 | 0 | 0.00% | 0.00% |  |
| D | 223 | 223 | 0 | 0 | 0.00% | 0.00% |  |
Top noisy pixels
Top three noisy pixels from each quadrant. If the there are fewer than three noisy pixels in the level2.evt file, extra rows are filled as -1
| Pixel properties |
Quadrant properties |
| Quadrant |
DetID |
PixID |
Counts |
Sigma |
Mean |
Median |
Sigma |
| A | 12 | 194 | 222 | 27.94 | 24 | 23 | 7.1 |
| A | 0 | 226 | 202 | 25.13 | 24 | 23 | 7.1 |
| A | 13 | 254 | 181 | 22.19 | 24 | 23 | 7.1 |
| B | 4 | 80 | 13322 | 1869.54 | 25 | 24 | 7.1 |
| B | 10 | 16 | 2946 | 410.8 | 25 | 24 | 7.1 |
| B | 5 | 250 | 2053 | 285.25 | 25 | 24 | 7.1 |
| C | 1 | 16 | 693 | 89.03 | 24 | 24 | 7.5 |
| C | 13 | 61 | 171 | 19.56 | 24 | 24 | 7.5 |
| C | 3 | 202 | 74 | 6.65 | 24 | 24 | 7.5 |
| D | 5 | 233 | 4792 | 620.62 | 23 | 22 | 7.7 |
| D | 1 | 52 | 1311 | 167.71 | 23 | 22 | 7.7 |
| D | 2 | 234 | 807 | 102.14 | 23 | 22 | 7.7 |
Detector plane histogram (DPH)
Histogram calculated using DETX and DETY for each event in the final _common_clean file
| Quadrant A |
 |
 |
Quadrant B |
| Quadrant D |
 |
 |
Quadrant C |
Count rate plots and images
| Plot type |
Count rate plots |
Images |
Comparison with Poisson distribution
Blue bars denote a histogram of data divided into 1 sec bins.
Red curve is a Poisson curve with rate = median count rate of data. |
 |
 |
Quadrant-wise count rates
Data is divided into 100 sec bins |
 |
 |
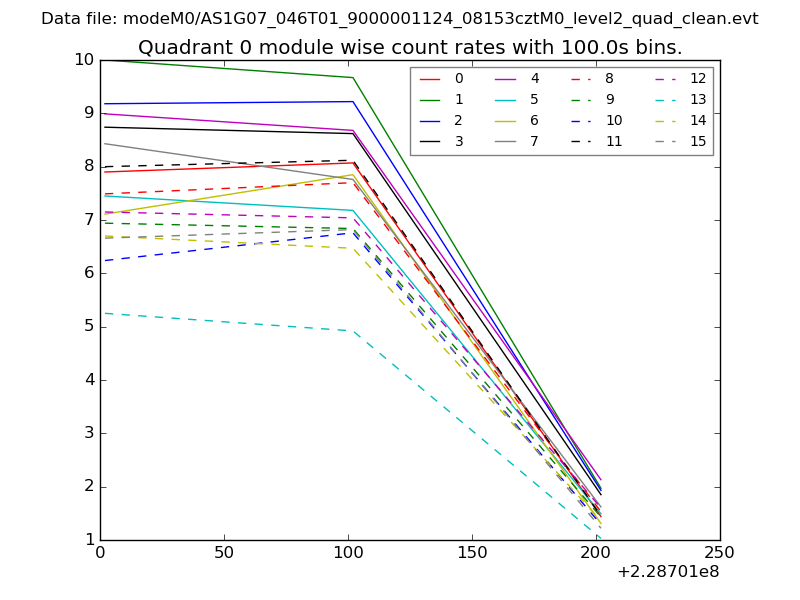
Module-wise count rates for Quadrant A
Data is divided into 100 sec bins |
 |
 |
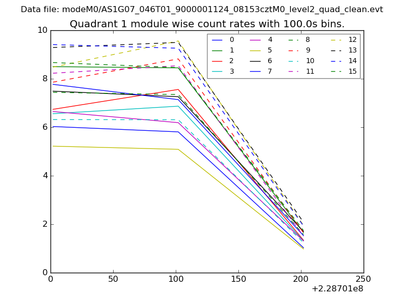
Module-wise count rates for Quadrant B
Data is divided into 100 sec bins |
 |
 |
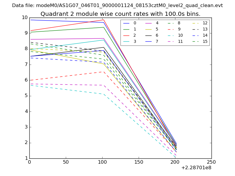
Module-wise count rates for Quadrant C
Data is divided into 100 sec bins |
 |
 |
Module-wise count rates for Quadrant D
Data is divided into 100 sec bins |
 |
 |
Housekeeping plots
| Parameter |
Plot |
| CZT HV Monitor |  |
| D_VDD |  |
| Temperature 1 |  |
| Veto HV Monitor |  |
| Veto LLD |  |
| Alpha Counter |  |
| _CPM_Rate |  |
| CZT Counter |  |
| +2.5 Volts monitor |  |
| +5 Volts monitor |  |
| _ROLL_ROT |  |
| _Roll_DEC |  |
| _Roll_RA |  |
| Veto Counter |  |