Observation information
- date-obs: 2018-01-22
- time-obs: 00:56:07.460400000
- date-end: 2018-01-22
- time-end: 01:21:35.378500000
- obs_id: A04_130T01_9000001856
- exposure: 338.363001958
- sourceid: 1ES 0229+200
- observer: Daniela
- ra_pnt: 38.20256
- dec_pnt: 20.28819
Basic statistics of files
| Param |
Original file |
Final file |
| Filename | modeM0/AS1A04_130T01_9000001856_12535cztM0_level2.evt
| modeM0/AS1A04_130T01_9000001856_12535cztM0_level2_quad_clean.evt
|
| Size (bytes) | 105,451,200 | 10,304,640 |
| Size | 100.6 MB
| 9.8 MB
|
| Events in quadrant A | 818,207 | 50,378 |
| Events in quadrant B | 785,114 | 51,232 |
| Events in quadrant C | 730,278 | 49,236 |
| Events in quadrant D | 753,281 | 47,318 |
Level1 data integrity
| Mode M0 |
| Quadrant | BADHDUFLAG | Total packets | Discarded packets |
|---|
| A | 0 | 3332 | 2 |
| B | 0 | 3206 | 1 |
| C | 0 | 3077 | 1 |
| D | 0 | 3220 | 1 |
| Mode SS |
| Quadrant | BADHDUFLAG | Total packets | Discarded packets |
|---|
| A | 0 | 30 | 0 |
| B | 0 | 30 | 0 |
| C | 0 | 30 | 0 |
| D | 0 | 30 | 0 |
Data saturation
| Quadrant | Total seconds | Saturated seconds | Saturation percentage |
|---|
| A | 1528 | 1 | 0.065445% |
| B | 1528 | 2 | 0.130890% |
| C | 1528 | 1 | 0.065445% |
| D | 1528 | 3 | 0.196335% |
Noise dominated fraction
Noise dominated data is calculated using 1-second bins in cleaned event files. If a bin has >2000 counts, and if more than 50% of those come from <1% of pixels, then it is considered to be noise-dominated and hence unusable.
| Quadrant |
# 1 sec bins |
Bins with >0 counts |
Bins with >2000 counts |
High rate bins dominated by noise |
Noise dominated (total time) |
Noise dominated (detector-on time) |
Marked lightcurve |
| A | 1529 | 1529 | 0 | 0 | 0.00% | 0.00% |  |
| B | 1529 | 1529 | 1 | 1 | 0.07% | 0.07% |  |
| C | 1529 | 1529 | 0 | 0 | 0.00% | 0.00% |  |
| D | 1529 | 1529 | 2 | 2 | 0.13% | 0.13% |  |
Top noisy pixels
Top three noisy pixels from each quadrant. If the there are fewer than three noisy pixels in the level2.evt file, extra rows are filled as -1
| Pixel properties |
Quadrant properties |
| Quadrant |
DetID |
PixID |
Counts |
Sigma |
Mean |
Median |
Sigma |
| A | 1 | 162 | 37152 | 933.08 | 186 | 183 | 39.6 |
| A | 1 | 178 | 22052 | 551.97 | 186 | 183 | 39.6 |
| A | 1 | 161 | 18671 | 466.63 | 186 | 183 | 39.6 |
| B | 4 | 239 | 24611 | 649.11 | 190 | 185 | 37.6 |
| B | 0 | 205 | 7810 | 202.63 | 190 | 185 | 37.6 |
| B | 10 | 244 | 4614 | 117.7 | 190 | 185 | 37.6 |
| C | 13 | 61 | 1372 | 26.21 | 187 | 188 | 45.2 |
| C | 3 | 202 | 467 | 6.18 | 187 | 188 | 45.2 |
| C | 8 | 222 | 444 | 5.67 | 187 | 188 | 45.2 |
| D | 1 | 52 | 22540 | 494.23 | 182 | 176 | 45.2 |
| D | 10 | 199 | 12844 | 279.96 | 182 | 176 | 45.2 |
| D | 8 | 195 | 12294 | 267.8 | 182 | 176 | 45.2 |
Detector plane histogram (DPH)
Histogram calculated using DETX and DETY for each event in the final _common_clean file
| Quadrant A |
 |
 |
Quadrant B |
| Quadrant D |
 |
 |
Quadrant C |
Count rate plots and images
| Plot type |
Count rate plots |
Images |
Comparison with Poisson distribution
Blue bars denote a histogram of data divided into 1 sec bins.
Red curve is a Poisson curve with rate = median count rate of data. |
 |
 |
Quadrant-wise count rates
Data is divided into 100 sec bins |
 |
 |
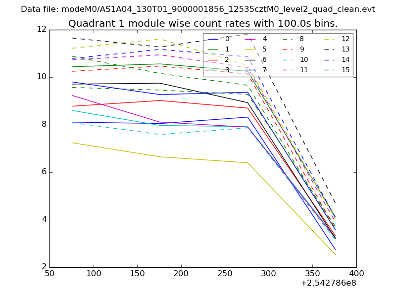
Module-wise count rates for Quadrant A
Data is divided into 100 sec bins |
 |
 |
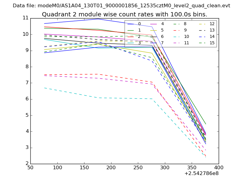
Module-wise count rates for Quadrant B
Data is divided into 100 sec bins |
 |
 |
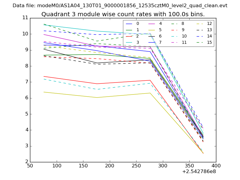
Module-wise count rates for Quadrant C
Data is divided into 100 sec bins |
 |
 |
Module-wise count rates for Quadrant D
Data is divided into 100 sec bins |
 |
 |
Housekeeping plots
| Parameter |
Plot |
| CZT HV Monitor |  |
| D_VDD |  |
| Temperature 1 |  |
| Veto HV Monitor |  |
| Veto LLD |  |
| Alpha Counter |  |
| _CPM_Rate |  |
| CZT Counter |  |
| +2.5 Volts monitor |  |
| +5 Volts monitor |  |
| _ROLL_ROT |  |
| _Roll_DEC |  |
| _Roll_RA |  |
| Veto Counter |  |