Observation information
- date-obs: 2018-04-04
- time-obs: 02:54:30.957900000
- date-end: 2018-04-04
- time-end: 02:57:23.957900000
- obs_id: C03_015T02_9000002008
- exposure: 169.190750502
- sourceid: NGC 188
- observer: annapurni
- ra_pnt: 12.08
- dec_pnt: 85.22392
Basic statistics of files
| Param |
Original file |
Final file |
| Filename | modeM0/AS1C03_015T02_9000002008_13601cztM0_level2.evt
| modeM0/AS1C03_015T02_9000002008_13601cztM0_level2_quad_clean.evt
|
| Size (bytes) | 10,877,760 | 3,582,720 |
| Size | 10.4 MB
| 3.4 MB
|
| Events in quadrant A | 73,370 | 21,132 |
| Events in quadrant B | 90,592 | 22,009 |
| Events in quadrant C | 73,875 | 22,394 |
| Events in quadrant D | 75,820 | 21,612 |
Level1 data integrity
| Mode SS |
| Quadrant | BADHDUFLAG | Total packets | Discarded packets |
|---|
| A | 0 | 4 | 0 |
| B | 0 | 4 | 0 |
| C | 0 | 4 | 0 |
| D | 0 | 4 | 0 |
| Mode M0 |
| Quadrant | BADHDUFLAG | Total packets | Discarded packets |
|---|
| A | 0 | 349 | 1 |
| B | 0 | 380 | 0 |
| C | 0 | 346 | 0 |
| D | 0 | 354 | 0 |
Data saturation
| Quadrant | Total seconds | Saturated seconds | Saturation percentage |
|---|
| A | 173 | 0 | 0.000000% |
| B | 173 | 1 | 0.578035% |
| C | 173 | 0 | 0.000000% |
| D | 173 | 0 | 0.000000% |
Noise dominated fraction
Noise dominated data is calculated using 1-second bins in cleaned event files. If a bin has >2000 counts, and if more than 50% of those come from <1% of pixels, then it is considered to be noise-dominated and hence unusable.
| Quadrant |
# 1 sec bins |
Bins with >0 counts |
Bins with >2000 counts |
High rate bins dominated by noise |
Noise dominated (total time) |
Noise dominated (detector-on time) |
Marked lightcurve |
| A | 174 | 174 | 0 | 0 | 0.00% | 0.00% |  |
| B | 174 | 174 | 0 | 0 | 0.00% | 0.00% |  |
| C | 174 | 174 | 0 | 0 | 0.00% | 0.00% |  |
| D | 174 | 174 | 0 | 0 | 0.00% | 0.00% |  |
Top noisy pixels
Top three noisy pixels from each quadrant. If the there are fewer than three noisy pixels in the level2.evt file, extra rows are filled as -1
| Pixel properties |
Quadrant properties |
| Quadrant |
DetID |
PixID |
Counts |
Sigma |
Mean |
Median |
Sigma |
| A | 1 | 162 | 899 | 155.37 | 18 | 18 | 5.7 |
| A | 1 | 161 | 323 | 53.79 | 18 | 18 | 5.7 |
| A | 1 | 178 | 273 | 44.97 | 18 | 18 | 5.7 |
| B | 0 | 219 | 12925 | 2278.58 | 19 | 18 | 5.7 |
| B | 3 | 209 | 1020 | 176.89 | 19 | 18 | 5.7 |
| B | 4 | 80 | 833 | 143.88 | 19 | 18 | 5.7 |
| C | 3 | 233 | 2276 | 381.18 | 18 | 18 | 5.9 |
| C | 12 | 4 | 159 | 23.8 | 18 | 18 | 5.9 |
| C | 13 | 61 | 132 | 19.24 | 18 | 18 | 5.9 |
| D | 13 | 122 | 2223 | 363.23 | 18 | 17 | 6.1 |
| D | 5 | 222 | 2036 | 332.44 | 18 | 17 | 6.1 |
| D | 13 | 249 | 811 | 130.73 | 18 | 17 | 6.1 |
Detector plane histogram (DPH)
Histogram calculated using DETX and DETY for each event in the final _common_clean file
| Quadrant A |
 |
 |
Quadrant B |
| Quadrant D |
 |
 |
Quadrant C |
Count rate plots and images
| Plot type |
Count rate plots |
Images |
Comparison with Poisson distribution
Blue bars denote a histogram of data divided into 1 sec bins.
Red curve is a Poisson curve with rate = median count rate of data. |
 |
 |
Quadrant-wise count rates
Data is divided into 100 sec bins |
 |
 |
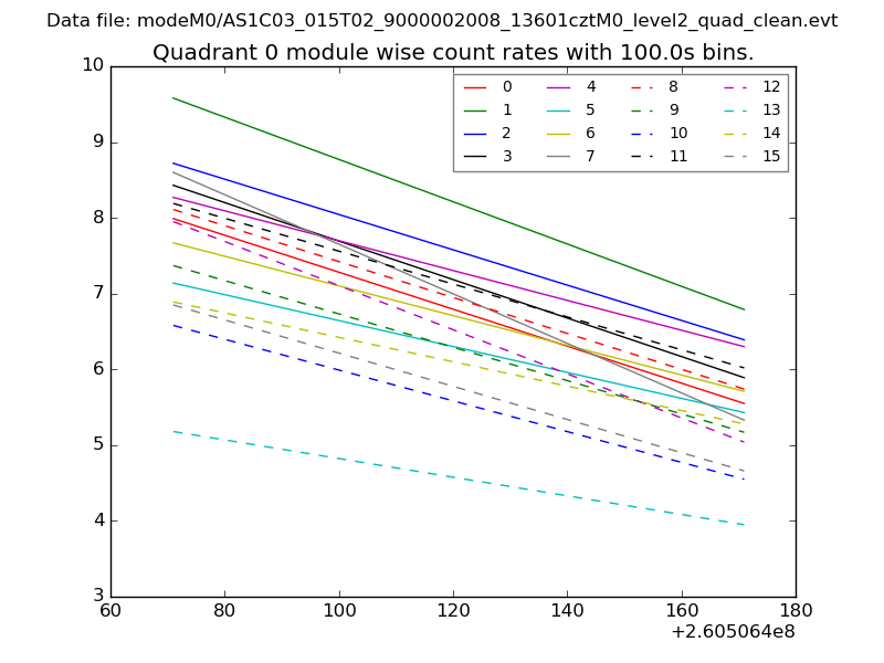
Module-wise count rates for Quadrant A
Data is divided into 100 sec bins |
 |
 |
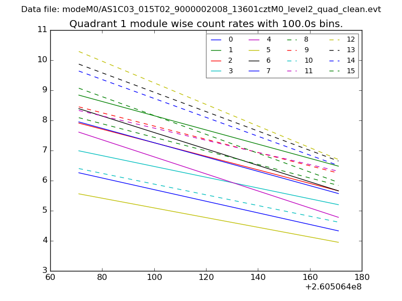
Module-wise count rates for Quadrant B
Data is divided into 100 sec bins |
 |
 |
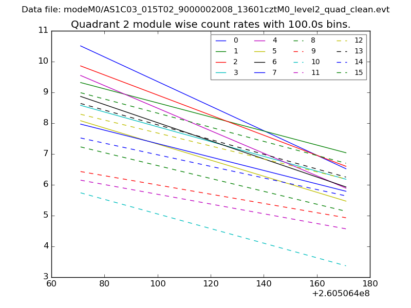
Module-wise count rates for Quadrant C
Data is divided into 100 sec bins |
 |
 |
Module-wise count rates for Quadrant D
Data is divided into 100 sec bins |
 |
 |
Housekeeping plots
| Parameter |
Plot |
| CZT HV Monitor |  |
| D_VDD |  |
| Temperature 1 |  |
| Veto HV Monitor |  |
| Veto LLD |  |
| Alpha Counter |  |
| _CPM_Rate |  |
| CZT Counter |  |
| +2.5 Volts monitor |  |
| +5 Volts monitor |  |
| _ROLL_ROT |  |
| _Roll_DEC |  |
| _Roll_RA |  |
| Veto Counter |  |