Observation information
- date-obs: 2018-09-04
- time-obs: 05:50:22.486700000
- date-end: 2018-09-04
- time-end: 06:43:58.485200000
- obs_id: A04_143T01_9000002344
- exposure: 507.14509277
- sourceid: Mrk1044
- observer: gulabd
- ra_pnt: 37.52309
- dec_pnt: -8.998208
Basic statistics of files
| Param |
Original file |
Final file |
| Filename | modeM0/AS1A04_143T01_9000002344_15869cztM0_level2.evt
| modeM0/AS1A04_143T01_9000002344_15869cztM0_level2_quad_clean.evt
|
| Size (bytes) | 31,512,960 | 9,403,200 |
| Size | 30.1 MB
| 9.0 MB
|
| Events in quadrant A | 237,926 | 62,024 |
| Events in quadrant B | 224,739 | 62,013 |
| Events in quadrant C | 240,507 | 58,290 |
| Events in quadrant D | 212,383 | 57,921 |
Level1 data integrity
| Mode SS |
| Quadrant | BADHDUFLAG | Total packets | Discarded packets |
|---|
| A | 0 | 61 | 49 |
| B | 0 | 62 | 52 |
| C | 0 | 61 | 49 |
| D | 0 | 63 | 57 |
| Mode M0 |
| Quadrant | BADHDUFLAG | Total packets | Discarded packets |
|---|
| A | 0 | 6686 | 5620 |
| B | 0 | 6455 | 5431 |
| C | 0 | 6475 | 5435 |
| D | 0 | 6228 | 5214 |
| Mode M9 |
| Quadrant | BADHDUFLAG | Total packets | Discarded packets |
|---|
| A | 0 | 1 | 1 |
| B | 1 | 1 | 1 |
| C | 1 | -1 | -1 |
| D | 1 | -1 | -1 |
Data saturation
| Quadrant | Total seconds | Saturated seconds | Saturation percentage |
|---|
| A | 525 | 0 | 0.000000% |
| B | 512 | 0 | 0.000000% |
| C | 506 | 2 | 0.395257% |
| D | 506 | 0 | 0.000000% |
Noise dominated fraction
Noise dominated data is calculated using 1-second bins in cleaned event files. If a bin has >2000 counts, and if more than 50% of those come from <1% of pixels, then it is considered to be noise-dominated and hence unusable.
| Quadrant |
# 1 sec bins |
Bins with >0 counts |
Bins with >2000 counts |
High rate bins dominated by noise |
Noise dominated (total time) |
Noise dominated (detector-on time) |
Marked lightcurve |
| A | 1186 | 711 | 0 | 0 | 0.00% | 0.00% |  |
| B | 1144 | 705 | 0 | 0 | 0.00% | 0.00% |  |
| C | 1934 | 687 | 0 | 0 | 0.00% | 0.00% |  |
| D | 2936 | 704 | 0 | 0 | 0.00% | 0.00% |  |
Top noisy pixels
Top three noisy pixels from each quadrant. If the there are fewer than three noisy pixels in the level2.evt file, extra rows are filled as -1
| Pixel properties |
Quadrant properties |
| Quadrant |
DetID |
PixID |
Counts |
Sigma |
Mean |
Median |
Sigma |
| A | 15 | 239 | 10702 | 755.63 | 58 | 57 | 14.1 |
| A | 9 | 143 | 1354 | 92.07 | 58 | 57 | 14.1 |
| A | 0 | 226 | 497 | 31.23 | 58 | 57 | 14.1 |
| B | 12 | 111 | 1334 | 94.63 | 57 | 56 | 13.5 |
| B | 11 | 111 | 1121 | 78.86 | 57 | 56 | 13.5 |
| B | 14 | 111 | 1018 | 71.23 | 57 | 56 | 13.5 |
| C | 14 | 238 | 8322 | 560.48 | 54 | 55 | 14.7 |
| C | 10 | 22 | 5835 | 391.87 | 54 | 55 | 14.7 |
| C | 0 | 207 | 4763 | 319.19 | 54 | 55 | 14.7 |
| D | 2 | 234 | 2032 | 126.79 | 55 | 53 | 15.6 |
| D | 1 | 52 | 1531 | 94.69 | 55 | 53 | 15.6 |
| D | 12 | 110 | 827 | 49.59 | 55 | 53 | 15.6 |
Detector plane histogram (DPH)
Histogram calculated using DETX and DETY for each event in the final _common_clean file
| Quadrant A |
 |
 |
Quadrant B |
| Quadrant D |
 |
 |
Quadrant C |
Count rate plots and images
| Plot type |
Count rate plots |
Images |
Comparison with Poisson distribution
Blue bars denote a histogram of data divided into 1 sec bins.
Red curve is a Poisson curve with rate = median count rate of data. |
 |
 |
Quadrant-wise count rates
Data is divided into 100 sec bins |
 |
 |
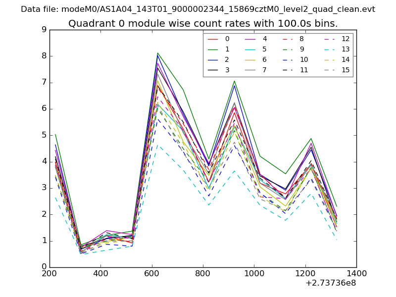
Module-wise count rates for Quadrant A
Data is divided into 100 sec bins |
 |
 |
Module-wise count rates for Quadrant B
Data is divided into 100 sec bins |
 |
 |
Module-wise count rates for Quadrant C
Data is divided into 100 sec bins |
 |
 |
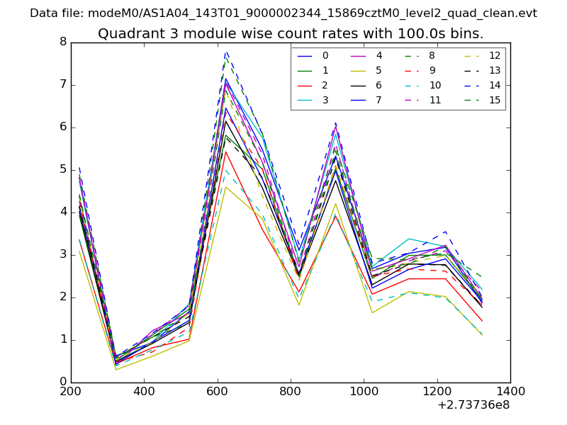
Module-wise count rates for Quadrant D
Data is divided into 100 sec bins |
 |
 |
Housekeeping plots
| Parameter |
Plot |
| CZT HV Monitor |  |
| D_VDD |  |
| Temperature 1 |  |
| Veto HV Monitor |  |
| Veto LLD |  |
| Alpha Counter |  |
| _CPM_Rate |  |
| CZT Counter |  |
| +2.5 Volts monitor |  |
| +5 Volts monitor |  |
| _ROLL_ROT |  |
| _Roll_DEC |  |
| _Roll_RA |  |
| Veto Counter |  |