Observation information
- date-obs: 2018-09-21
- time-obs: 22:53:41.999600000
- date-end: 2018-09-21
- time-end: 23:09:47.998800000
- obs_id: T02_092T01_9000002384
- exposure: 105.423366949
- sourceid: HER X-1
- observer: Kmukerjee
- ra_pnt: 254.4575
- dec_pnt: 35.34233
Basic statistics of files
| Param |
Original file |
Final file |
| Filename | modeM0/AS1T02_092T01_9000002384_16130cztM0_level2.evt
| modeM0/AS1T02_092T01_9000002384_16130cztM0_level2_quad_clean.evt
|
| Size (bytes) | 67,659,840 | 4,176,000 |
| Size | 64.5 MB
| 4.0 MB
|
| Events in quadrant A | 566,312 | 12,052 |
| Events in quadrant B | 497,862 | 13,423 |
| Events in quadrant C | 431,828 | 12,821 |
| Events in quadrant D | 484,408 | 12,993 |
Level1 data integrity
| Mode SS |
| Quadrant | BADHDUFLAG | Total packets | Discarded packets |
|---|
| A | 0 | 18 | 0 |
| B | 0 | 18 | 0 |
| C | 0 | 18 | 0 |
| D | 0 | 18 | 0 |
| Mode M0 |
| Quadrant | BADHDUFLAG | Total packets | Discarded packets |
|---|
| A | 0 | 2374 | 1 |
| B | 0 | 2109 | 0 |
| C | 0 | 1934 | 0 |
| D | 0 | 2127 | 0 |
Data saturation
| Quadrant | Total seconds | Saturated seconds | Saturation percentage |
|---|
| A | 966 | 29 | 3.002070% |
| B | 966 | 0 | 0.000000% |
| C | 966 | 2 | 0.207039% |
| D | 966 | 13 | 1.345756% |
Noise dominated fraction
Noise dominated data is calculated using 1-second bins in cleaned event files. If a bin has >2000 counts, and if more than 50% of those come from <1% of pixels, then it is considered to be noise-dominated and hence unusable.
| Quadrant |
# 1 sec bins |
Bins with >0 counts |
Bins with >2000 counts |
High rate bins dominated by noise |
Noise dominated (total time) |
Noise dominated (detector-on time) |
Marked lightcurve |
| A | 966 | 966 | 25 | 25 | 2.59% | 2.59% |  |
| B | 966 | 966 | 0 | 0 | 0.00% | 0.00% |  |
| C | 966 | 966 | 0 | 0 | 0.00% | 0.00% |  |
| D | 966 | 966 | 11 | 11 | 1.14% | 1.14% |  |
Top noisy pixels
Top three noisy pixels from each quadrant. If the there are fewer than three noisy pixels in the level2.evt file, extra rows are filled as -1
| Pixel properties |
Quadrant properties |
| Quadrant |
DetID |
PixID |
Counts |
Sigma |
Mean |
Median |
Sigma |
| A | 15 | 174 | 158207 | 6686.14 | 104 | 102 | 23.6 |
| A | 8 | 247 | 4445 | 183.66 | 104 | 102 | 23.6 |
| A | 0 | 226 | 930 | 35.02 | 104 | 102 | 23.6 |
| B | 5 | 65 | 57651 | 2484.47 | 108 | 105 | 23.2 |
| B | 0 | 189 | 12330 | 527.8 | 108 | 105 | 23.2 |
| B | 12 | 111 | 2505 | 103.62 | 108 | 105 | 23.2 |
| C | 14 | 238 | 16424 | 602.16 | 105 | 105 | 27.1 |
| C | 3 | 9 | 4579 | 165.09 | 105 | 105 | 27.1 |
| C | 13 | 61 | 747 | 23.69 | 105 | 105 | 27.1 |
| D | 1 | 52 | 72565 | 2640.32 | 103 | 100 | 27.4 |
| D | 12 | 221 | 11179 | 403.67 | 103 | 100 | 27.4 |
| D | 2 | 234 | 4625 | 164.87 | 103 | 100 | 27.4 |
Detector plane histogram (DPH)
Histogram calculated using DETX and DETY for each event in the final _common_clean file
| Quadrant A |
 |
 |
Quadrant B |
| Quadrant D |
 |
 |
Quadrant C |
Count rate plots and images
| Plot type |
Count rate plots |
Images |
Comparison with Poisson distribution
Blue bars denote a histogram of data divided into 1 sec bins.
Red curve is a Poisson curve with rate = median count rate of data. |
 |
 |
Quadrant-wise count rates
Data is divided into 100 sec bins |
 |
 |
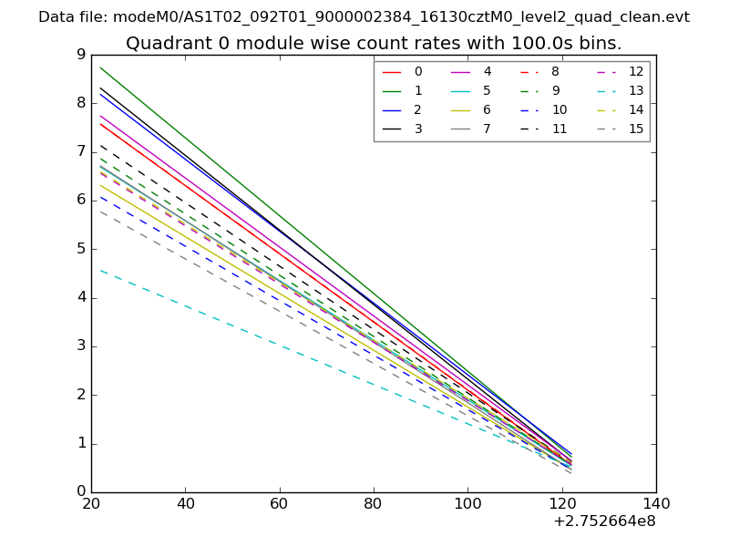
Module-wise count rates for Quadrant A
Data is divided into 100 sec bins |
 |
 |
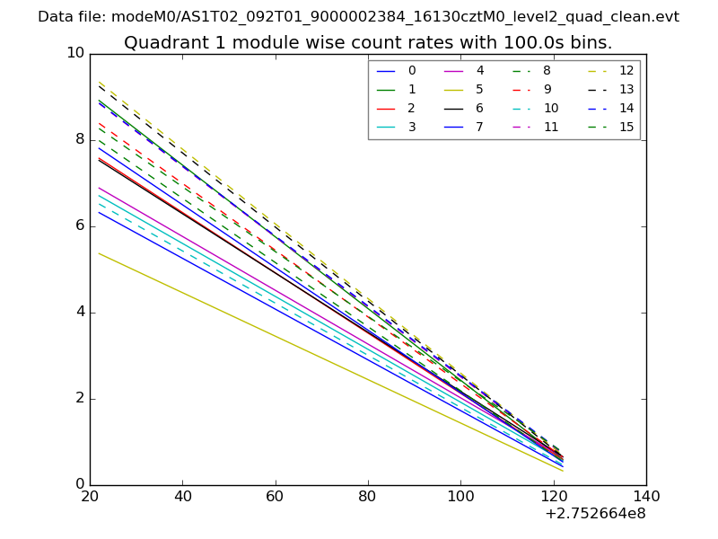
Module-wise count rates for Quadrant B
Data is divided into 100 sec bins |
 |
 |
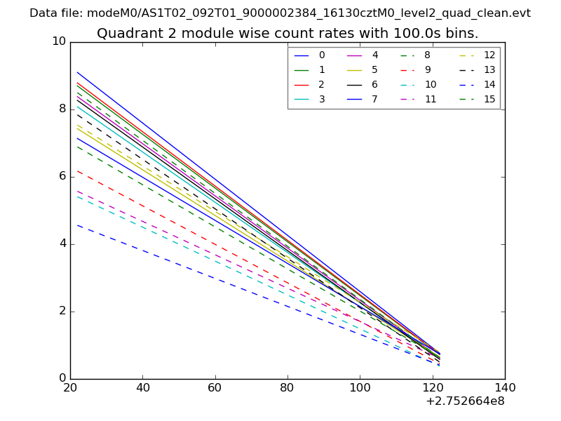
Module-wise count rates for Quadrant C
Data is divided into 100 sec bins |
 |
 |
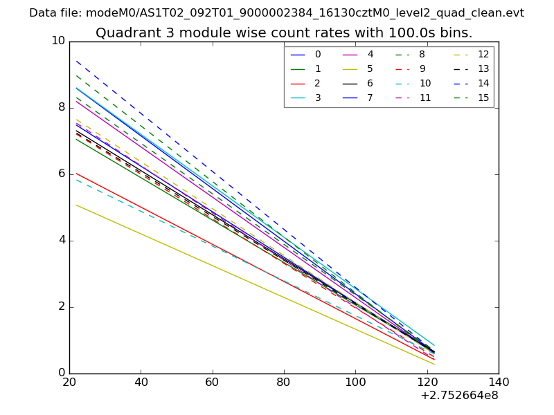
Module-wise count rates for Quadrant D
Data is divided into 100 sec bins |
 |
 |
Housekeeping plots
| Parameter |
Plot |
| CZT HV Monitor |  |
| D_VDD |  |
| Temperature 1 |  |
| Veto HV Monitor |  |
| Veto LLD |  |
| Alpha Counter |  |
| _CPM_Rate |  |
| CZT Counter |  |
| +2.5 Volts monitor |  |
| +5 Volts monitor |  |
| _ROLL_ROT |  |
| _Roll_DEC |  |
| _Roll_RA |  |
| Veto Counter |  |