Observation information
- date-obs: 2018-11-20
- time-obs: 02:08:09.539400000
- date-end: 2018-11-20
- time-end: 02:25:20.539400000
- obs_id: A05_143T01_9000002524
- exposure: 440.521422476
- sourceid: 4U 0923-31
- observer: nilam09rn
- ra_pnt: 140.3958
- dec_pnt: -31.445
Basic statistics of files
| Param |
Original file |
Final file |
| Filename | modeM0/AS1A05_143T01_9000002524_17007cztM0_level2.evt
| modeM0/AS1A05_143T01_9000002524_17007cztM0_level2_quad_clean.evt
|
| Size (bytes) | 43,064,640 | 12,061,440 |
| Size | 41.1 MB
| 11.5 MB
|
| Events in quadrant A | 270,610 | 81,922 |
| Events in quadrant B | 292,735 | 86,134 |
| Events in quadrant C | 296,299 | 81,623 |
| Events in quadrant D | 410,393 | 75,526 |
Level1 data integrity
| Mode M9 |
| Quadrant | BADHDUFLAG | Total packets | Discarded packets |
|---|
| A | 0 | 5 | 0 |
| B | 0 | 6 | 0 |
| C | 0 | 6 | 0 |
| D | 0 | 6 | 0 |
| Mode SS |
| Quadrant | BADHDUFLAG | Total packets | Discarded packets |
|---|
| A | 0 | 10 | 0 |
| B | 0 | 10 | 0 |
| C | 0 | 10 | 0 |
| D | 0 | 10 | 0 |
| Mode M0 |
| Quadrant | BADHDUFLAG | Total packets | Discarded packets |
|---|
| A | 0 | 1099 | 1 |
| B | 0 | 1226 | 1 |
| C | 0 | 1260 | 1 |
| D | 0 | 1539 | 1 |
Data saturation
| Quadrant | Total seconds | Saturated seconds | Saturation percentage |
|---|
| A | 448 | 2 | 0.446429% |
| B | 448 | 4 | 0.892857% |
| C | 448 | 11 | 2.455357% |
| D | 448 | 38 | 8.482143% |
Noise dominated fraction
Noise dominated data is calculated using 1-second bins in cleaned event files. If a bin has >2000 counts, and if more than 50% of those come from <1% of pixels, then it is considered to be noise-dominated and hence unusable.
| Quadrant |
# 1 sec bins |
Bins with >0 counts |
Bins with >2000 counts |
High rate bins dominated by noise |
Noise dominated (total time) |
Noise dominated (detector-on time) |
Marked lightcurve |
| A | 449 | 449 | 0 | 0 | 0.00% | 0.00% |  |
| B | 449 | 449 | 1 | 1 | 0.22% | 0.22% |  |
| C | 449 | 449 | 0 | 0 | 0.00% | 0.00% |  |
| D | 449 | 449 | 30 | 30 | 6.68% | 6.68% |  |
Top noisy pixels
Top three noisy pixels from each quadrant. If the there are fewer than three noisy pixels in the level2.evt file, extra rows are filled as -1
| Pixel properties |
Quadrant properties |
| Quadrant |
DetID |
PixID |
Counts |
Sigma |
Mean |
Median |
Sigma |
| A | 0 | 226 | 583 | 31.58 | 70 | 68 | 16.3 |
| A | 12 | 194 | 493 | 26.06 | 70 | 68 | 16.3 |
| A | 3 | 137 | 435 | 22.5 | 70 | 68 | 16.3 |
| B | 4 | 48 | 3506 | 220.6 | 72 | 70 | 15.6 |
| B | 0 | 230 | 2686 | 167.96 | 72 | 70 | 15.6 |
| B | 14 | 1 | 1737 | 107.03 | 72 | 70 | 15.6 |
| C | 3 | 233 | 10999 | 590.13 | 70 | 70 | 18.5 |
| C | 14 | 238 | 10520 | 564.27 | 70 | 70 | 18.5 |
| C | 9 | 54 | 868 | 43.09 | 70 | 70 | 18.5 |
| D | 1 | 52 | 152816 | 8440.35 | 66 | 64 | 18.1 |
| D | 4 | 239 | 3122 | 168.97 | 66 | 64 | 18.1 |
| D | 3 | 238 | 1517 | 80.29 | 66 | 64 | 18.1 |
Detector plane histogram (DPH)
Histogram calculated using DETX and DETY for each event in the final _common_clean file
| Quadrant A |
 |
 |
Quadrant B |
| Quadrant D |
 |
 |
Quadrant C |
Count rate plots and images
| Plot type |
Count rate plots |
Images |
Comparison with Poisson distribution
Blue bars denote a histogram of data divided into 1 sec bins.
Red curve is a Poisson curve with rate = median count rate of data. |
 |
 |
Quadrant-wise count rates
Data is divided into 100 sec bins |
 |
 |
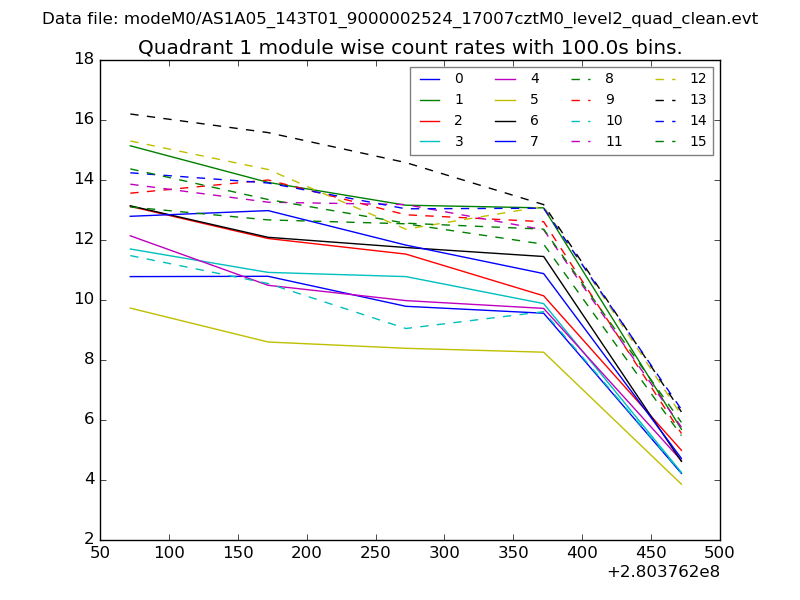
Module-wise count rates for Quadrant A
Data is divided into 100 sec bins |
 |
 |
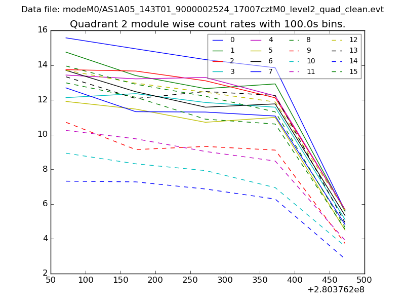
Module-wise count rates for Quadrant B
Data is divided into 100 sec bins |
 |
 |
Module-wise count rates for Quadrant C
Data is divided into 100 sec bins |
 |
 |
Module-wise count rates for Quadrant D
Data is divided into 100 sec bins |
 |
 |
Housekeeping plots
| Parameter |
Plot |
| CZT HV Monitor |  |
| D_VDD |  |
| Temperature 1 |  |
| Veto HV Monitor |  |
| Veto LLD |  |
| Alpha Counter |  |
| _CPM_Rate |  |
| CZT Counter |  |
| +2.5 Volts monitor |  |
| +5 Volts monitor |  |
| _ROLL_ROT |  |
| _Roll_DEC |  |
| _Roll_RA |  |
| Veto Counter |  |