Observation information
- date-obs: 2020-04-13
- time-obs: 10:31:49.546800000
- date-end: 2020-04-13
- time-end: 10:35:04.547300000
- obs_id: T03_183T01_9000003610
- exposure: 191.025481075
- sourceid: HD 110432
- observer: gulabd
- ra_pnt: 190.7094
- dec_pnt: -63.05862
Basic statistics of files
| Param |
Original file |
Final file |
| Filename | modeM0/AS1T03_183T01_9000003610_24559cztM0_level2.evt
| modeM0/AS1T03_183T01_9000003610_24559cztM0_level2_quad_clean.evt
|
| Size (bytes) | 18,826,560 | 4,328,640 |
| Size | 18.0 MB
| 4.1 MB
|
| Events in quadrant A | 98,241 | 27,813 |
| Events in quadrant B | 97,302 | 28,057 |
| Events in quadrant C | 98,591 | 27,104 |
| Events in quadrant D | 258,988 | 25,361 |
Level1 data integrity
| Mode M0 |
| Quadrant | BADHDUFLAG | Total packets | Discarded packets |
|---|
| A | 0 | 394 | 0 |
| B | 0 | 393 | 0 |
| C | 0 | 395 | 0 |
| D | 0 | 906 | 0 |
| Mode SS |
| Quadrant | BADHDUFLAG | Total packets | Discarded packets |
|---|
| A | 0 | 4 | 0 |
| B | 0 | 4 | 0 |
| C | 0 | 4 | 0 |
| D | 0 | 4 | 0 |
Data saturation
| Quadrant | Total seconds | Saturated seconds | Saturation percentage |
|---|
| A | 196 | 0 | 0.000000% |
| B | 196 | 0 | 0.000000% |
| C | 196 | 3 | 1.530612% |
| D | 196 | 9 | 4.591837% |
Noise dominated fraction
Noise dominated data is calculated using 1-second bins in cleaned event files. If a bin has >2000 counts, and if more than 50% of those come from <1% of pixels, then it is considered to be noise-dominated and hence unusable.
| Quadrant |
# 1 sec bins |
Bins with >0 counts |
Bins with >2000 counts |
High rate bins dominated by noise |
Noise dominated (total time) |
Noise dominated (detector-on time) |
Marked lightcurve |
| A | 196 | 196 | 0 | 0 | 0.00% | 0.00% |  |
| B | 196 | 196 | 0 | 0 | 0.00% | 0.00% |  |
| C | 196 | 196 | 0 | 0 | 0.00% | 0.00% |  |
| D | 196 | 196 | 1 | 1 | 0.51% | 0.51% |  |
Top noisy pixels
Top three noisy pixels from each quadrant. If the there are fewer than three noisy pixels in the level2.evt file, extra rows are filled as -1
| Pixel properties |
Quadrant properties |
| Quadrant |
DetID |
PixID |
Counts |
Sigma |
Mean |
Median |
Sigma |
| A | 13 | 254 | 273 | 35.26 | 25 | 24 | 7.1 |
| A | 3 | 137 | 209 | 26.2 | 25 | 24 | 7.1 |
| A | 0 | 226 | 192 | 23.79 | 25 | 24 | 7.1 |
| B | 12 | 111 | 520 | 71.1 | 24 | 24 | 7.0 |
| B | 11 | 111 | 501 | 68.37 | 24 | 24 | 7.0 |
| B | 14 | 111 | 456 | 61.92 | 24 | 24 | 7.0 |
| C | 14 | 238 | 3937 | 532.73 | 24 | 24 | 7.3 |
| C | 7 | 247 | 212 | 25.6 | 24 | 24 | 7.3 |
| C | 13 | 61 | 183 | 21.65 | 24 | 24 | 7.3 |
| D | 8 | 195 | 161598 | 20094.71 | 24 | 23 | 8.0 |
| D | 1 | 52 | 2001 | 246.0 | 24 | 23 | 8.0 |
| D | 12 | 218 | 1835 | 225.35 | 24 | 23 | 8.0 |
Detector plane histogram (DPH)
Histogram calculated using DETX and DETY for each event in the final _common_clean file
| Quadrant A |
 |
 |
Quadrant B |
| Quadrant D |
 |
 |
Quadrant C |
Count rate plots and images
| Plot type |
Count rate plots |
Images |
Comparison with Poisson distribution
Blue bars denote a histogram of data divided into 1 sec bins.
Red curve is a Poisson curve with rate = median count rate of data. |
 |
 |
Quadrant-wise count rates
Data is divided into 100 sec bins |
 |
 |
Module-wise count rates for Quadrant A
Data is divided into 100 sec bins |
 |
 |
Module-wise count rates for Quadrant B
Data is divided into 100 sec bins |
 |
 |
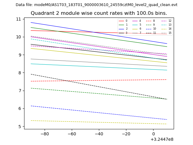
Module-wise count rates for Quadrant C
Data is divided into 100 sec bins |
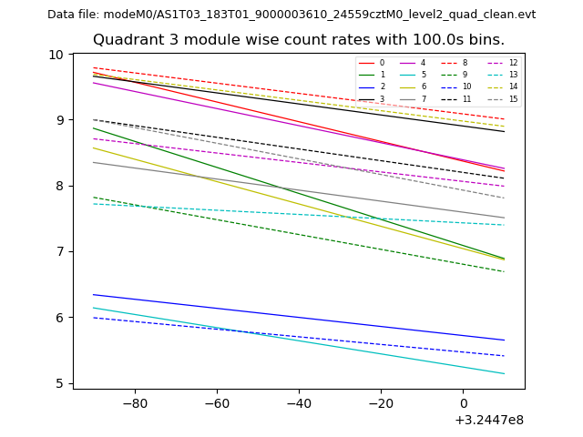
 |
 |
Module-wise count rates for Quadrant D
Data is divided into 100 sec bins |
 |
 |
Housekeeping plots
| Parameter |
Plot |
| CZT HV Monitor |  |
| D_VDD |  |
| Temperature 1 |  |
| Veto HV Monitor |  |
| Veto LLD |  |
| Alpha Counter |  |
| _CPM_Rate |  |
| CZT Counter |  |
| +2.5 Volts monitor |  |
| +5 Volts monitor |  |
| _ROLL_ROT |  |
| _Roll_DEC |  |
| _Roll_RA |  |
| Veto Counter |  |