Observation information
- date-obs: 2017-03-20
- time-obs: 17:33:15.621100000
- date-end: 2017-03-20
- time-end: 17:55:25.622000000
- obs_id: G06_168T20_9000001092
- exposure: 121.916229494
- sourceid: HE1351-1721
- observer: nkrao
- ra_pnt: 208.4571
- dec_pnt: 17.61056
Basic statistics of files
| Param |
Original file |
Final file |
| Filename | modeM0/AS1G06_168T20_9000001092_07988cztM0_level2.evt
| modeM0/AS1G06_168T20_9000001092_07988cztM0_level2_quad_clean.evt
|
| Size (bytes) | 59,281,920 | 4,089,600 |
| Size | 56.5 MB
| 3.9 MB
|
| Events in quadrant A | 371,082 | 19,469 |
| Events in quadrant B | 460,231 | 18,965 |
| Events in quadrant C | 559,394 | 19,576 |
| Events in quadrant D | 364,144 | 18,831 |
Level1 data integrity
| Mode M0 |
| Quadrant | BADHDUFLAG | Total packets | Discarded packets |
|---|
| A | 0 | 1566 | 1 |
| B | 0 | 1801 | 1 |
| C | 0 | 2079 | 1 |
| D | 0 | 1460 | 1 |
| Mode M9 |
| Quadrant | BADHDUFLAG | Total packets | Discarded packets |
|---|
| A | 0 | 7 | 0 |
| B | 0 | 7 | 0 |
| C | 0 | 7 | 0 |
| D | 0 | 8 | 0 |
| Mode SS |
| Quadrant | BADHDUFLAG | Total packets | Discarded packets |
|---|
| A | 0 | 12 | 0 |
| B | 0 | 12 | 0 |
| C | 0 | 12 | 0 |
| D | 0 | 12 | 0 |
Data saturation
| Quadrant | Total seconds | Saturated seconds | Saturation percentage |
|---|
| A | 547 | 3 | 0.548446% |
| B | 547 | 50 | 9.140768% |
| C | 547 | 29 | 5.301645% |
| D | 547 | 10 | 1.828154% |
Noise dominated fraction
Noise dominated data is calculated using 1-second bins in cleaned event files. If a bin has >2000 counts, and if more than 50% of those come from <1% of pixels, then it is considered to be noise-dominated and hence unusable.
| Quadrant |
# 1 sec bins |
Bins with >0 counts |
Bins with >2000 counts |
High rate bins dominated by noise |
Noise dominated (total time) |
Noise dominated (detector-on time) |
Marked lightcurve |
| A | 547 | 547 | 0 | 0 | 0.00% | 0.00% |  |
| B | 547 | 547 | 14 | 14 | 2.56% | 2.56% |  |
| C | 547 | 547 | 4 | 4 | 0.73% | 0.73% |  |
| D | 547 | 547 | 5 | 5 | 0.91% | 0.91% |  |
Top noisy pixels
Top three noisy pixels from each quadrant. If the there are fewer than three noisy pixels in the level2.evt file, extra rows are filled as -1
| Pixel properties |
Quadrant properties |
| Quadrant |
DetID |
PixID |
Counts |
Sigma |
Mean |
Median |
Sigma |
| A | 0 | 128 | 39339 | 2014.91 | 85 | 83 | 19.5 |
| A | 0 | 226 | 843 | 39.01 | 85 | 83 | 19.5 |
| A | 12 | 194 | 778 | 35.67 | 85 | 83 | 19.5 |
| B | 4 | 239 | 61512 | 3355.13 | 85 | 84 | 18.3 |
| B | 0 | 231 | 46971 | 2560.92 | 85 | 84 | 18.3 |
| B | 4 | 173 | 7615 | 411.33 | 85 | 84 | 18.3 |
| C | 1 | 16 | 215022 | 10003.2 | 85 | 85 | 21.5 |
| C | 10 | 22 | 10336 | 477.08 | 85 | 85 | 21.5 |
| C | 13 | 61 | 644 | 26.02 | 85 | 85 | 21.5 |
| D | 1 | 52 | 33271 | 1461.79 | 85 | 81 | 22.7 |
| D | 13 | 169 | 6211 | 269.98 | 85 | 81 | 22.7 |
| D | 12 | 233 | 1562 | 65.23 | 85 | 81 | 22.7 |
Detector plane histogram (DPH)
Histogram calculated using DETX and DETY for each event in the final _common_clean file
| Quadrant A |
 |
 |
Quadrant B |
| Quadrant D |
 |
 |
Quadrant C |
Count rate plots and images
| Plot type |
Count rate plots |
Images |
Comparison with Poisson distribution
Blue bars denote a histogram of data divided into 1 sec bins.
Red curve is a Poisson curve with rate = median count rate of data. |
 |
 |
Quadrant-wise count rates
Data is divided into 100 sec bins |
 |
 |
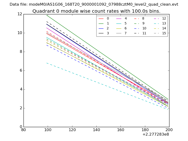
Module-wise count rates for Quadrant A
Data is divided into 100 sec bins |
 |
 |
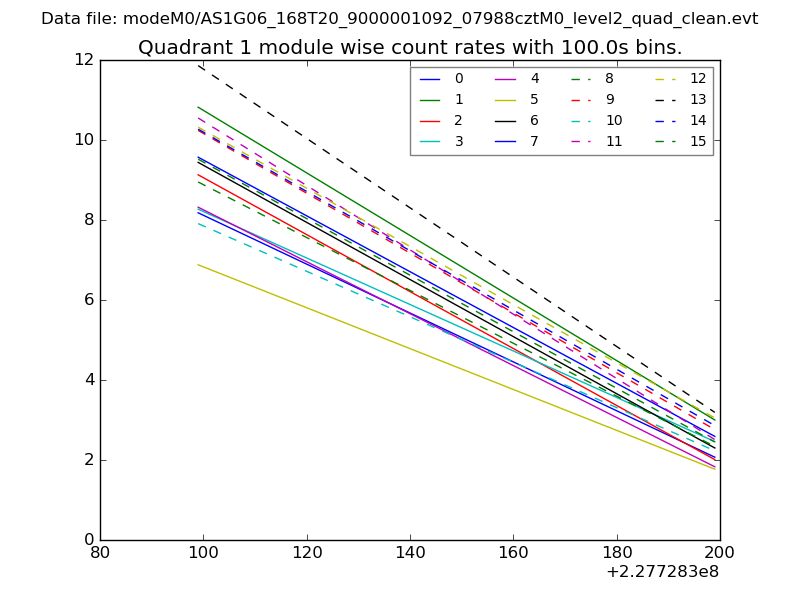
Module-wise count rates for Quadrant B
Data is divided into 100 sec bins |
 |
 |
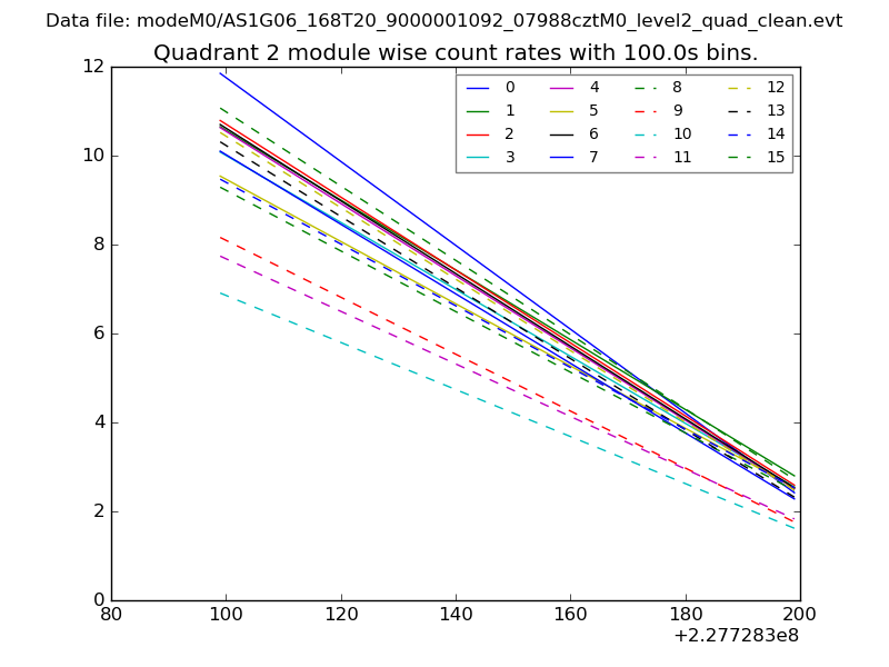
Module-wise count rates for Quadrant C
Data is divided into 100 sec bins |
 |
 |
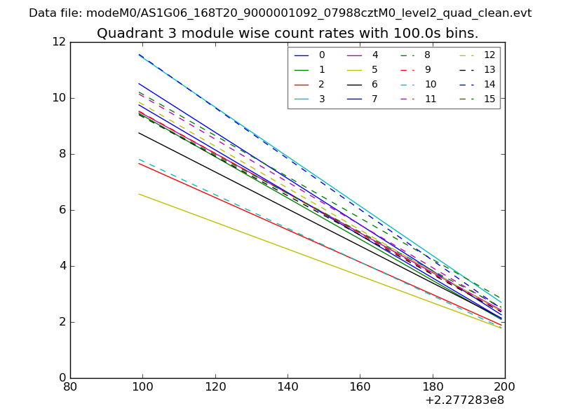
Module-wise count rates for Quadrant D
Data is divided into 100 sec bins |
 |
 |
Housekeeping plots
| Parameter |
Plot |
| CZT HV Monitor |  |
| D_VDD |  |
| Temperature 1 |  |
| Veto HV Monitor |  |
| Veto LLD |  |
| Alpha Counter |  |
| _CPM_Rate |  |
| CZT Counter |  |
| +2.5 Volts monitor |  |
| +5 Volts monitor |  |
| _ROLL_ROT |  |
| _Roll_DEC |  |
| _Roll_RA |  |
| Veto Counter |  |